Secondaire 5 • 3a
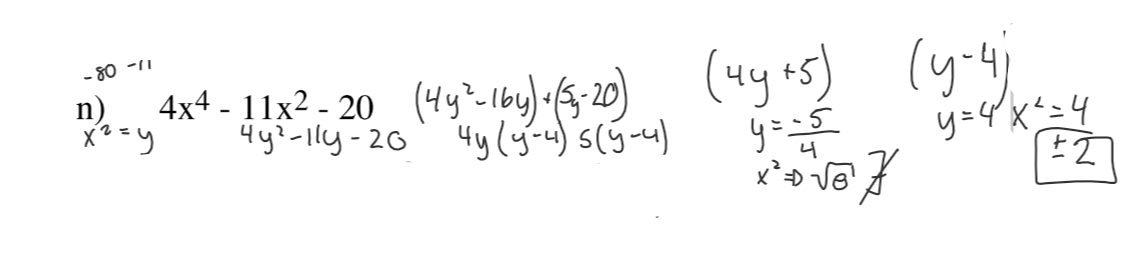
Bonjour, jr dois factoriser cette equation, j ai trouvé les zeros mais je ne sais plus quoi faire aprss
Bonjour, jr dois factoriser cette equation, j ai trouvé les zeros mais je ne sais plus quoi faire aprss
Explication d'Alloprof
Cette explication a été donnée par un membre de l'équipe d'Alloprof.
Salut!
Tu as remplacé x² par y afin de pouvoir factoriser :
Ce contenu est protégé par le droit d'auteur. Toute reproduction à l'extérieur des forums Alloprof est interdite et pourra être considérée comme une violation du droit d'auteur.
et tu as eu :
Ce contenu est protégé par le droit d'auteur. Toute reproduction à l'extérieur des forums Alloprof est interdite et pourra être considérée comme une violation du droit d'auteur.
Si tu remplaces maintenant y par ce à quoi ça équivaut, soit x², on obtient :
$$ (4y²+5)(x²-4)$$
Le premier facteur ne peut plus être factorisé, on ne le touche donc plus. Cependant, le second facteur, soit (x²-4), peut être factorisé davantage. En effet, il s'agit d'une différence de carrés. Une fois que tu auras factorisé ce facteur, tu obtiendras alors l'expression finale factorisée de :
Ce contenu est protégé par le droit d'auteur. Toute reproduction à l'extérieur des forums Alloprof est interdite et pourra être considérée comme une violation du droit d'auteur.
N'hésite pas à nous réécrire si tu as d'autres questions :)
Suggestions en lien avec la question
Suggestion en lien avec la question
Voici ce qui a été trouvé automatiquement sur le site, en espérant que ça t’aide!