Secondaire 5 • 4a
Bonjour mon prof veut absolument sue je resous sans calculatrice et ca fait 10 mins que j essaie de factoriser mais je ne suis èas capblr pouvez vous m'aider svp
Bonjour mon prof veut absolument sue je resous sans calculatrice et ca fait 10 mins que j essaie de factoriser mais je ne suis èas capblr pouvez vous m'aider svp
Explication d'Alloprof
Cette explication a été donnée par un membre de l'équipe d'Alloprof.
Salut!
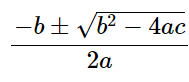
Pour factoriser cette expression, on peut utiliser la formule quadratique, soit :
Ce contenu est protégé par le droit d'auteur. Toute reproduction à l'extérieur des forums Alloprof est interdite et pourra être considérée comme une violation du droit d'auteur.
On cherche donc les zéros de la fonction quadratique, nous allons alors résoudre : $$ 9x²-14x-12=0$$
À l'aide de la formule quadratique, nous allons écrire :
$$ x = \frac{-(-14)±\sqrt{(-14)²-4(9)(-12)}}{2(9)}$$
puisque a, b et c sont respectivement les coefficients 9, -14 et -12.
Une fois les zéros trouvés, il ne restera plus qu'à écrire le tout sous la forme factorisée de l'équation.
Ce contenu est protégé par le droit d'auteur. Toute reproduction à l'extérieur des forums Alloprof est interdite et pourra être considérée comme une violation du droit d'auteur.
Voici une fiche sur cette notion qui pourrait t'être utile : https://www.alloprof.qc.ca/fr/eleves/bv/mathematiques/la-factorisation-d-un-trinome-par-la-formule-quad-m1451
N'hésite pas si tu as d'autres questions :)
bonjour,
On peut calculer le discriminant b²-4ac.
Si ce n'est pas un carré parfait alors la méthode produit-somme ne fonctionnera pas car les nombres cherchés ne sont pas des entiers.
Il reste la méthode de complétion du carré et celle des zéros.
Autre possibilité: une erreur dans la question !
Suggestions en lien avec la question
Suggestion en lien avec la question
Voici ce qui a été trouvé automatiquement sur le site, en espérant que ça t’aide!