Bonjour,
Je ne comprends pas pourquoi je n'ai pas obtenu la bonne réponse
Ce contenu est protégé par le droit d'auteur. Toute reproduction à l'extérieur des forums Alloprof est interdite et pourra être considérée comme une violation du droit d'auteur.
{t c="richEditor.description.title"} {t c="richEditor.description.paragraphMenu"} {t c="richEditor.description.inlineMenu"} {t c="richEditor.description.embed"}
Explication vérifiée par Alloprof
Cette explication a été vérifiée par un membre de l’équipe d’Alloprof.
bonjour,
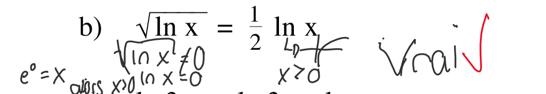
Tu as répondu Vrai parce que tu as confondu \(\sqrt{\ln x}\) avec \(\ln \sqrt{x}\).
On ne voit pas la question ...
Devais-tu résoudre l'équation?
Voici ce qui a été trouvé automatiquement sur le site, en espérant que ça t’aide!
Explication vérifiée par Alloprof
Cette explication a été vérifiée par un membre de l’équipe d’Alloprof.
bonjour,
Tu as répondu Vrai parce que tu as confondu \(\sqrt{\ln x}\) avec \(\ln \sqrt{x}\).
On ne voit pas la question ...
Devais-tu résoudre l'équation?
Suggestions en lien avec la question
Suggestion en lien avec la question
Voici ce qui a été trouvé automatiquement sur le site, en espérant que ça t’aide!