Skip to content

Zone d’entraide

Question de l’élève

Secondaire 3 • 3a

Salut!


Pourquoi dans un diagramme de quartile, le premier et le dernier quart ne sont pas dans des boites?

Pourquoi certaines données sont dans le diagramme mais ne sont pas " réelles" ?


Comment on peut associer un diagramme des quartiles à un histogramme?


Merci!

Mathématiques
avatar
avatar

{t c="richEditor.description.title"} {t c="richEditor.description.paragraphMenu"} {t c="richEditor.description.inlineMenu"} {t c="richEditor.description.embed"}

Explications (1)

  • Explication d'Alloprof

    Explication d'Alloprof

    Cette explication a été donnée par un membre de l'équipe d'Alloprof.

    Options
    Équipe Alloprof • 3a

    Bonjour Elfe Agile!

    Merci de faire appel à nos services 😉

    Par convention, la boîte d'un diagramme de quartile représente l'étendue interquartile, donc la distance entre Q1 et Q3.

    Pour ta deuxième question, je crois que tu fais référence aux valeurs calculées pour les quartiles. En effet, il se peut que les valeurs des quartiles n'appartiennent pas à la distribution. Pour réviser cette notion, je t'invite à consulter la réponse fournie à ta dernière question.

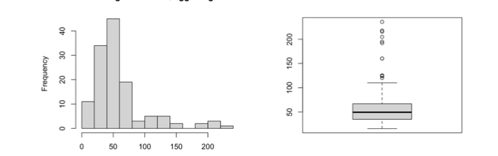
    On peut faire un lien entre un diagramme de quartiles et un histogramme à l'aide de la longueur des moustaches et de la symétrie du diagramme. Par exemple, si la moustache à droite est longue, l'histogramme aura des bandes plus petites vers la droite.

    Voici un exemple de diagramme et d'histogramme représentant la même situation:

    image.png

    Pour réviser les notions de quartiles, tu peux consulter la fiche explicative suivante:

    J'espère que cela t'aidera!

Poser une question