Skip to content

Zone d’entraide

Question de l’élève

Secondaire 5 • 4a

Bonjour,

je n'arrive pas à résoudre le #4 b). ...

pouvez vous me montrer une démarche svp?

image.png

voici ma démarche, je ne sais pas ce que j'ai fait de mal...


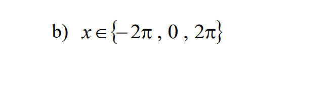
voici le corrigé:

image.png


Merci!

Mathématiques
avatar
avatar

{t c="richEditor.description.title"} {t c="richEditor.description.paragraphMenu"} {t c="richEditor.description.inlineMenu"} {t c="richEditor.description.embed"}

Explications (2)

  • Options
    4a

    bonjour ShyOwl,

    Tu as oublié de joindre la photo de ta démarche.

  • Explication d'Alloprof

    Explication d'Alloprof

    Cette explication a été donnée par un membre de l'équipe d'Alloprof.

    Options
    Équipe Alloprof • 4a February 2022 modifié

    Salut !

    Tu peux commencer en posant :

    y = cox(x)

    Ton équation sera donc :

    y^2 -3 y + 2 = 0

    Par la suite, en utilisant la formule quadratique, trouve les valeurs de y qui vérifient l'équation.

    (je ne vais pas te donner la réponse, donc pour le bien de l'explication imaginons que y= 4 et y=0.5)


    Tu peux remplacer y par cos(x) et le résoudre.

    y = 4 => cos(x) = 4 (pas de solution, car cos(x) est compris entre -1 et 1. Or, 4 sort de cet intervalle.)


    y = 0.5 => cos(x) = 0.5 (Il vaut résoudre l'équation pour trouver x. Attention à respecter les intervalle de x donnés dans le problème)


    Bonne journée

Poser une question