Secondaire 5 • 4a
Bonsoir,
Je dois simplifier l'expression suivante :
Lorsque je tente de réduire cette expression, je finis avec l'expression ci-dessous
Cela étant dit, j'ai accès à la réponse seulement de cette expression (je n'ai pas accès à la démarche) et donc la réponse que je devrais avoir est :
Et donc j'aimerais savoir comment arriver à la bonne réponse et comment ai-je obtenu cette expression (afin de ne pas reproduire cette même erreur).
Merci beaucoup! 🙃



Bonjour AnanasBeta670,
En faisant ce problème j'ai eu le même problème que toi. On a oublié de distribuer le carré du (9x^(3-a)) au coefficient. Ce qui donnera 81x^(6-2a)
Explication vérifiée par Alloprof
Cette explication a été vérifiée par un membre de l’équipe d’Alloprof.
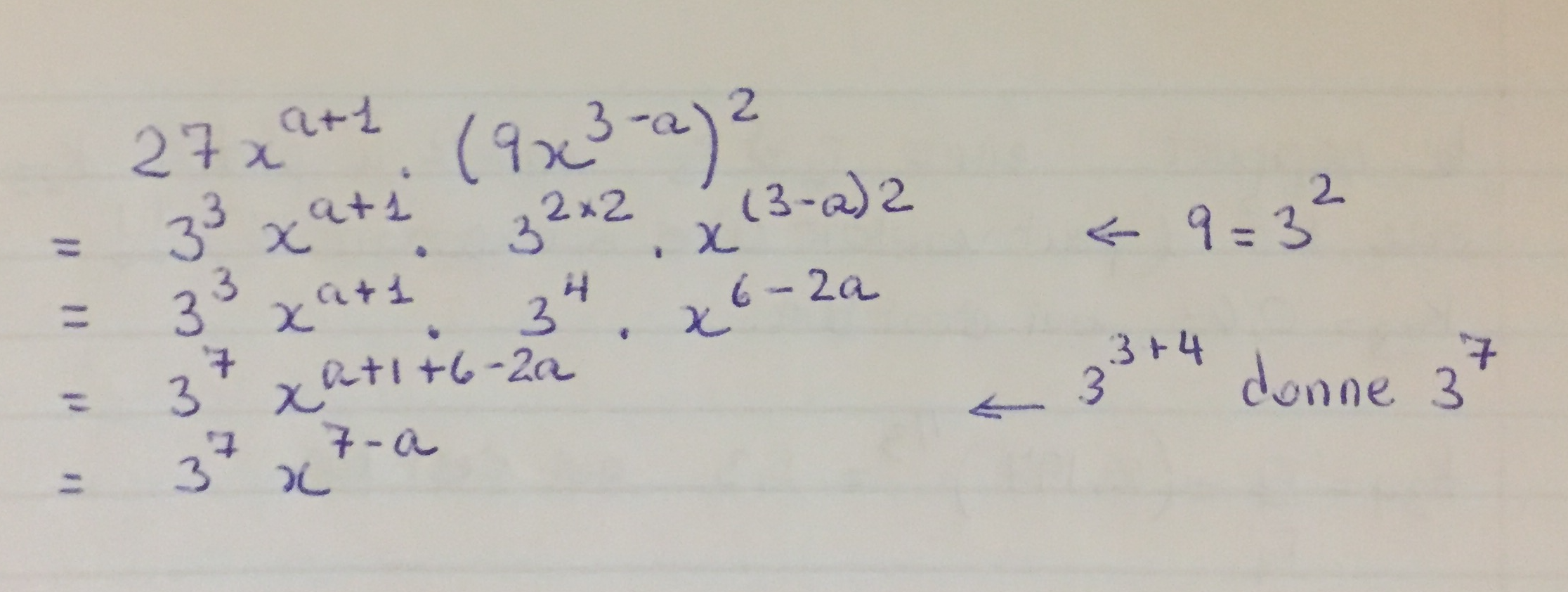
Voici les détails de ma réduction, j'espère que ça va t'aider
Ce contenu est protégé par le droit d'auteur. Toute reproduction à l'extérieur des forums Alloprof est interdite et pourra être considérée comme une violation du droit d'auteur.
Suggestions en lien avec la question
Suggestion en lien avec la question
Voici ce qui a été trouvé automatiquement sur le site, en espérant que ça t’aide!