Skip to content

Zone d’entraide

Question de l’élève

Postsecondaire • 4a

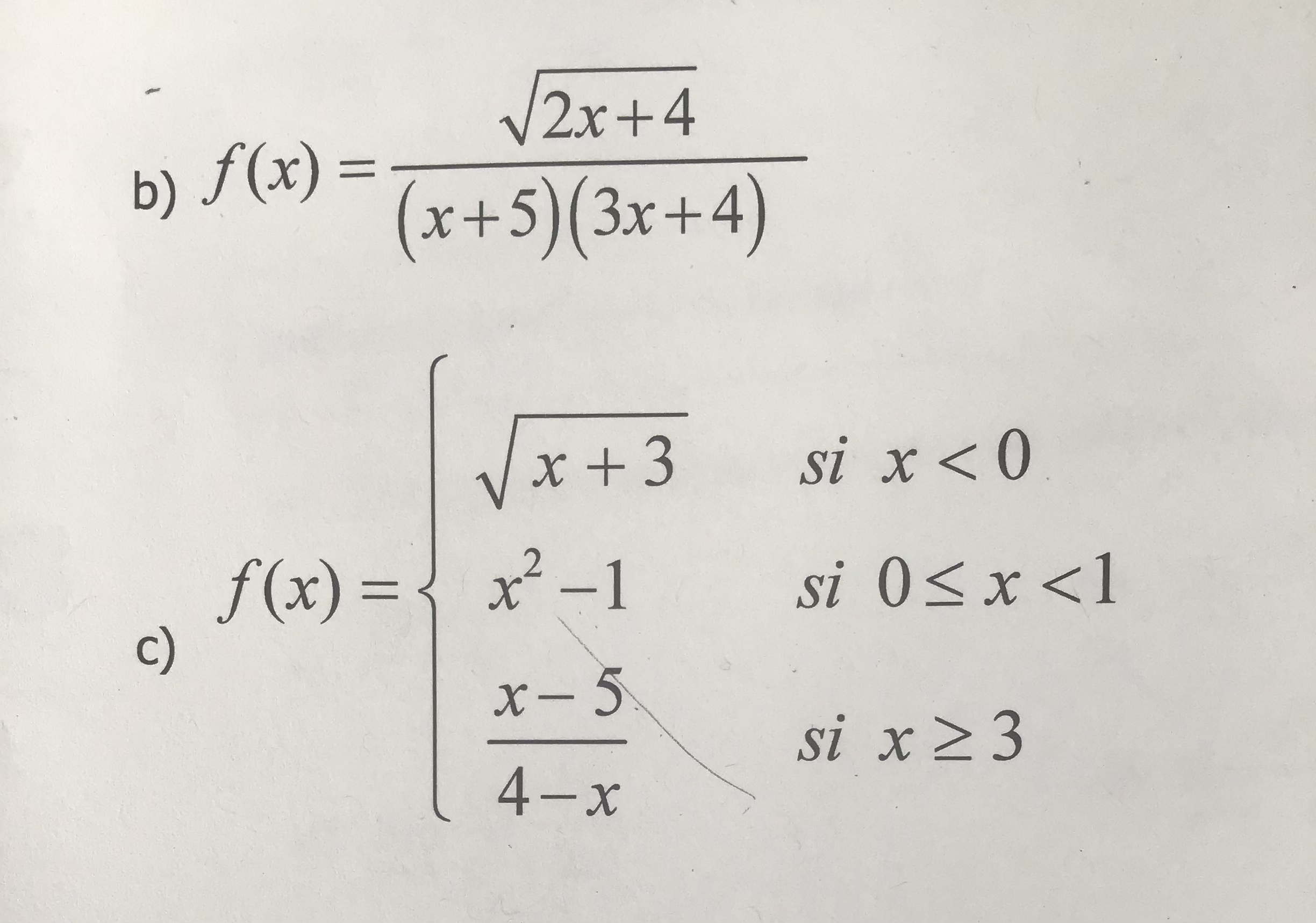
Bonjour, je suis en calcul différentiel et je n’arrive pas à trouver le domaine des fonctions suivantes

D4404F2F-0FB3-4D0A-AD1D-EA2586267E65.jpeg


Mathématiques
avatar
avatar

{t c="richEditor.description.title"} {t c="richEditor.description.paragraphMenu"} {t c="richEditor.description.inlineMenu"} {t c="richEditor.description.embed"}

Explications (2)

  • Explication d'Alloprof

    Explication d'Alloprof

    Cette explication a été donnée par un membre de l'équipe d'Alloprof.

    Options
    Équipe Alloprof • 4a

    Bonjour Radis Rose!

    Merci de faire appel à nos services 😉

    Pour réviser les notions de domaine des fonctions, tu peux consulter la fiche explicative suivante:

    J'espère que cela t'aidera!

  • Options
    4a

    bonjour,

    Quand on a une racine paire, le radicande doit être plus grand ou égal à 0.

    Quand on a une division, le dénominateur ne doit pas être égal à 0.

Poser une question