Je ne me souviens plus comment je peut isoler la variable x dans ce cas.
Ce contenu est protégé par le droit d'auteur. Toute reproduction à l'extérieur des forums Alloprof est interdite et pourra être considérée comme une violation du droit d'auteur.
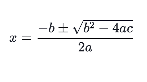
Il y a plusieurs façon de l'isoler, mais la façon la plus rapide est probablement de juste l'insérer dans la formule quadratique :
Ce contenu est protégé par le droit d'auteur. Toute reproduction à l'extérieur des forums Alloprof est interdite et pourra être considérée comme une violation du droit d'auteur.
1
Suggestions en lien avec la question
Suggestion en lien avec la question
Voici ce qui a été trouvé automatiquement sur le site, en espérant que ça t’aide!
Explication d'Alloprof
Cette explication a été donnée par un membre de l'équipe d'Alloprof.
Bonjour,
Imaginons que tu as :
\(\frac{x}{4}=\frac{2}{x+1}\)
On multiplie par (x+1) des deux côtés pour remonter le x:
\(\frac{x}{4} * (x+1)=2\)
\(\frac{x}{4} * (x+1)=2\)
On peut multiplier par 4 pour se débarrasser de la fraction :
\(x * (x+1)=8\)
Il ne reste plus qu'à distribuer le x :
x^2 + x = 8
On remarque qu'on a une formule quadratique :
x^2+x-8 = 0
On résout à l'aide de la technique somme-produit ou de la formule quadratique :
formule quadratique :
Prenons la formule quadratique:
Le a c'est le coefficient devant le x^2.
Le b c'est le coefficient devant le x.
Le c c'est la constante.
il te suffit d'appliquer la formule dans la fiche ci-dessus.
Somme produit :
Bonne journée
Si tu ne comprends pas une de ces 2 techniques, dis-le-nous. :)
Bonjour,
J'ai trouvé ce lien d' Alloprof , je pense que sa peut t'aider.
Bonjour,
Il y a plusieurs façon de l'isoler, mais la façon la plus rapide est probablement de juste l'insérer dans la formule quadratique :
Ce contenu est protégé par le droit d'auteur. Toute reproduction à l'extérieur des forums Alloprof est interdite et pourra être considérée comme une violation du droit d'auteur.
Suggestions en lien avec la question
Suggestion en lien avec la question
Voici ce qui a été trouvé automatiquement sur le site, en espérant que ça t’aide!