Ce contenu est protégé par le droit d'auteur. Toute reproduction à l'extérieur des forums Alloprof est interdite et pourra être considérée comme une violation du droit d'auteur.
Est-ce que c'est cette démarche
Ce contenu est protégé par le droit d'auteur. Toute reproduction à l'extérieur des forums Alloprof est interdite et pourra être considérée comme une violation du droit d'auteur.
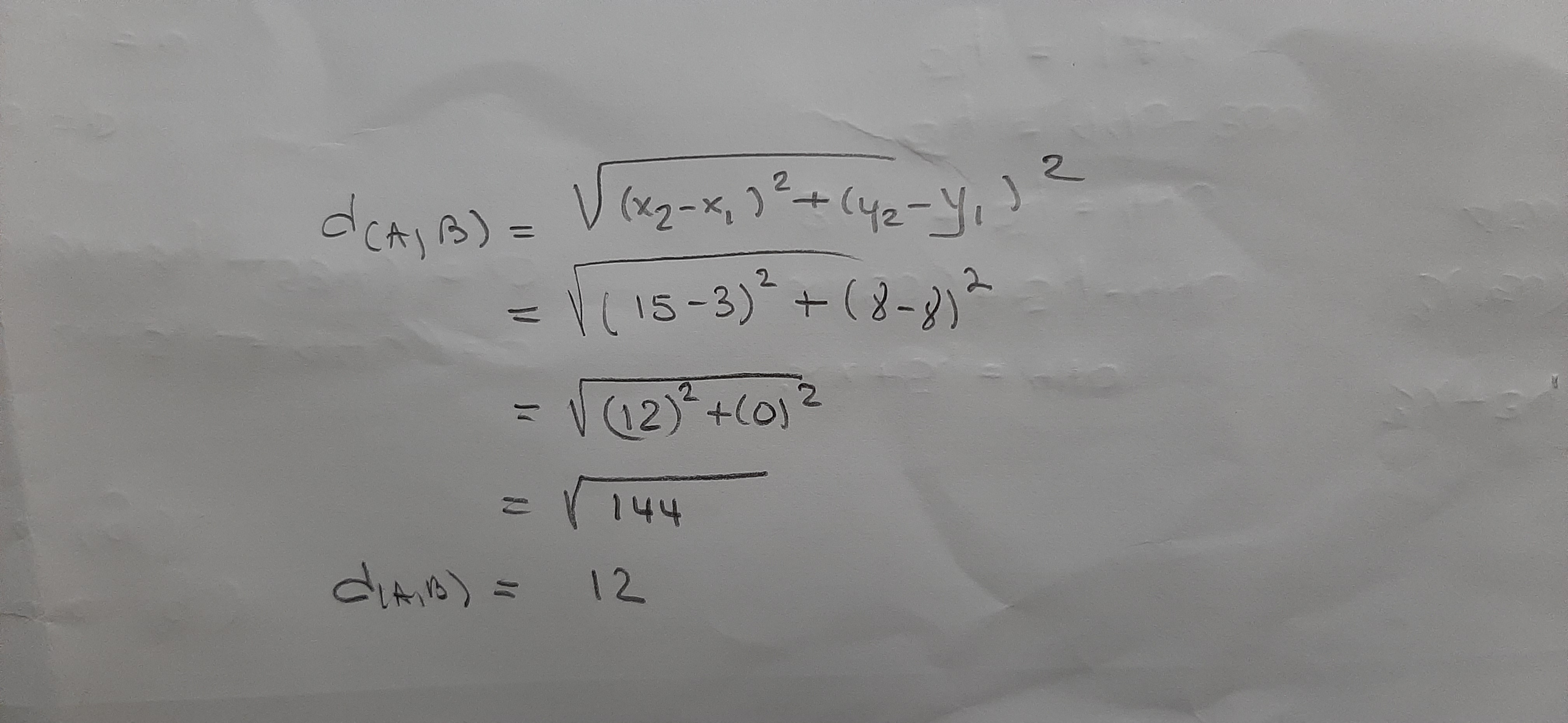
Tu as trouvé la distance entre les deux points suivant :
Ce contenu est protégé par le droit d'auteur. Toute reproduction à l'extérieur des forums Alloprof est interdite et pourra être considérée comme une violation du droit d'auteur.
Ton calcul est juste, mais que comptes-tu faire avec cette donnée par la suite? Connaître la distance entre ces deux points ne nous avance pas beaucoup.
La meilleure façon de résoudre cet exercice serait de trouver la règle de la droite passant par les deux points de gauche (en bleu), et celle passant par les deux points de droite (en vert)
Ce contenu est protégé par le droit d'auteur. Toute reproduction à l'extérieur des forums Alloprof est interdite et pourra être considérée comme une violation du droit d'auteur.
Puis, une fois les règles trouvées, on peut chercher le point d'intersection (donc le point représentant le faîte de la maison) des deux fonctions affines.
Voici des fiches sur ces notions qui pourraient t'être utiles :
Explication d'Alloprof
Cette explication a été donnée par un membre de l'équipe d'Alloprof.
Salut!
Tu as trouvé la distance entre les deux points suivant :
Ce contenu est protégé par le droit d'auteur. Toute reproduction à l'extérieur des forums Alloprof est interdite et pourra être considérée comme une violation du droit d'auteur.
Ton calcul est juste, mais que comptes-tu faire avec cette donnée par la suite? Connaître la distance entre ces deux points ne nous avance pas beaucoup.
La meilleure façon de résoudre cet exercice serait de trouver la règle de la droite passant par les deux points de gauche (en bleu), et celle passant par les deux points de droite (en vert)
Ce contenu est protégé par le droit d'auteur. Toute reproduction à l'extérieur des forums Alloprof est interdite et pourra être considérée comme une violation du droit d'auteur.
Puis, une fois les règles trouvées, on peut chercher le point d'intersection (donc le point représentant le faîte de la maison) des deux fonctions affines.
Voici des fiches sur ces notions qui pourraient t'être utiles :
Si tu as d'autres questions, écris-nous! :)
Suggestions en lien avec la question
Suggestion en lien avec la question
Voici ce qui a été trouvé automatiquement sur le site, en espérant que ça t’aide!