Ce contenu est protégé par le droit d'auteur. Toute reproduction à l'extérieur des forums Alloprof est interdite et pourra être considérée comme une violation du droit d'auteur.
Ce contenu est protégé par le droit d'auteur. Toute reproduction à l'extérieur des forums Alloprof est interdite et pourra être considérée comme une violation du droit d'auteur.
Bonjour, dans cette exercice, on veut retrouver la règle d’une fonction exponentielle. J’aimerais savoir dans l’étape pour trouver la base C , pourquoi il y a le signe du moins à gauche du C?
Explication d'Alloprof
Cette explication a été donnée par un membre de l'équipe d'Alloprof.
Salut!
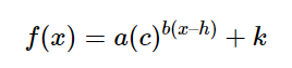
Le signe négatif vient du paramètre a qui vaut -1. La forme canonique de la règle est :
Ce contenu est protégé par le droit d'auteur. Toute reproduction à l'extérieur des forums Alloprof est interdite et pourra être considérée comme une violation du droit d'auteur.
Puisqu'on sait que le paramètre a vaut -1, on a donc
$$g(x)=-1c^x + 4$$
qu'on peut simplifier pour avoir :
$$g(x)=-c^x + 4$$
Si tu as d'autres questions, on est là! :)
bonjour,
La règle est de la forme g(x)=a*c^x + k.
Ici a=-1 alors on écrit g(x)=-1*c^x + k = g(x)=-c^x + k.
Suggestions en lien avec la question
Suggestion en lien avec la question
Voici ce qui a été trouvé automatiquement sur le site, en espérant que ça t’aide!