Secondaire 4 • 4a
Comment puis-je trouver la distance d'une droite
Exemple: le point AB d'un triangle ABC.
Si j'ai seulement l'équation de la droite et les coordonnées d'un bout de la droite
Comment puis-je trouver la distance d'une droite
Exemple: le point AB d'un triangle ABC.
Si j'ai seulement l'équation de la droite et les coordonnées d'un bout de la droite
Explication d'Alloprof
Cette explication a été donnée par un membre de l'équipe d'Alloprof.
Salut!
Si je comprends bien, tu as les coordonnées d'un sommet du triangle (en bleu), ainsi que l'équation d'une des droites du triangle (en bleu), et tu cherches la distance entre ce sommet et le suivant (la distance entre le point bleu et rouge)
Ce contenu est protégé par le droit d'auteur. Toute reproduction à l'extérieur des forums Alloprof est interdite et pourra être considérée comme une violation du droit d'auteur.
Pour trouver la distance, tu auras besoin de déterminer les coordonnées du second sommet. Pour trouver ce point, cela dépend vraiment des informations que l'on te donne. De quel type de triangle s'agit-il? Les deux points sont-ils horizontaux comme sur l'image ci-dessous? Ou verticaux? C'est difficile comme cela de pouvoir te donner des indices précis pour trouver ce point, donc si tu as de la difficulté à le trouver, réécris-nous et envoie-nous une photo de l'exercice ;)
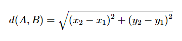
Ensuite, lorsque tu connaitras les coordonnées deux deux points, tu pourras utiliser la formule suivante pour calculer la distance entre ces deux points :
Ce contenu est protégé par le droit d'auteur. Toute reproduction à l'extérieur des forums Alloprof est interdite et pourra être considérée comme une violation du droit d'auteur.
Voici une fiche sur cette notion : https://www.alloprof.qc.ca/fr/eleves/bv/mathematiques/math-la-distance-entre-deux-points-m1311
Si tu as d'autres questions, on est là! :)
Salut, c’est sure que ca l’irais mieux si tu aurais tes deux extrémités de ta droite. Dans ce cas la ta formule sera donc:
d= La racine carré de (x2-x1)exposant 2 + (y2-y1)exposant 2
(Je vais la mettre en pièce jointe XD)
passe une bonne soirée 😊
Ce contenu est protégé par le droit d'auteur. Toute reproduction à l'extérieur des forums Alloprof est interdite et pourra être considérée comme une violation du droit d'auteur.
Suggestions en lien avec la question
Suggestion en lien avec la question
Voici ce qui a été trouvé automatiquement sur le site, en espérant que ça t’aide!