Secondaire 3 • 3a
Bonjour alloprof ! J’ai une question sur la photo que j’ai jointe. Je me demande quel son les méthodes de factorisations pour chacun es des équations et comment parvenir à les résoudre. Merci beaucoup !
Bonne journée
:)

Explication d'Alloprof
Cette explication a été donnée par un membre de l'équipe d'Alloprof.
Salut LibelluleMauve3421,
Merci pour ta question!
1. Comme tu peux le remarquer, il s'agit de deux carrées, x^2 est le carré de x et 16 de 4. Ainsi, tu peux faire une différence de carrée.
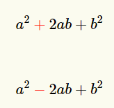
2. Lorsque tu as un trinôme, la première étape est de vérifier si tu as un trinôme carré parfait. Ce faisant, tu dois vérifier si les racines de a et c multipliés par deux donnent b. Les lettres font référence à l'équation générale:
Ce contenu est protégé par le droit d'auteur. Toute reproduction à l'extérieur des forums Alloprof est interdite et pourra être considérée comme une violation du droit d'auteur.
Bref, un trinôme carré parfait s'écrit sous cette forme:
Ce contenu est protégé par le droit d'auteur. Toute reproduction à l'extérieur des forums Alloprof est interdite et pourra être considérée comme une violation du droit d'auteur.
Dans ton cas, la deuxième équation est un trinôme carré parfait, il faut donc que tu appliques la technique pour résoudre ce genre d'équation. Si tu ne la connais pas, voici un lien vers celle-ci:
Le trinôme carré parfait
3. Ici, il faut vérifier à nouveau s'il s'agit d'un trinôme carré parfait. Cette fois-ci, il ne s'agit pas d'un trinôme carré parfait, il va falloir alors utiliser le produit-somme, la complétion du carré ou la formule quadratique. Voici un lien vers ces méthodes:
J'espère que ça t'aide et n'hésite pas à nous réécrire si tu as d'autres questions!
Anthony B.
Suggestions en lien avec la question
Suggestion en lien avec la question
Voici ce qui a été trouvé automatiquement sur le site, en espérant que ça t’aide!