Secondaire 4 • 3a
bonjour comment savoir quel méthode de résolution de système d’équations utiliser ici ? ( comparaison substitution ou réduction)
bonjour comment savoir quel méthode de résolution de système d’équations utiliser ici ? ( comparaison substitution ou réduction)
Explication d'Alloprof
Cette explication a été donnée par un membre de l'équipe d'Alloprof.
Salut!
Tu peux utiliser la méthode de ton choix! Il faut simplement ajuster la forme des équations selon la méthode que tu choisis.
Pour la méthode de réduction, les deux équations doivent être de forme :
Ce contenu est protégé par le droit d'auteur. Toute reproduction à l'extérieur des forums Alloprof est interdite et pourra être considérée comme une violation du droit d'auteur.
Si tu veux utiliser cette méthode, tu dois donc modifier la première équation en déplaçant le terme 3x de l'autre côté.
Pour la méthode de comparaison, les deux équations doivent être de forme :
Ce contenu est protégé par le droit d'auteur. Toute reproduction à l'extérieur des forums Alloprof est interdite et pourra être considérée comme une violation du droit d'auteur.
Si tu veux utiliser cette méthode, tu dois donc modifier la seconde équation en isolant complètement la variable y.
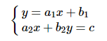
Finalement, pour la méthode de substitution, tu dois avoir une équation de chaque forme :
Ce contenu est protégé par le droit d'auteur. Toute reproduction à l'extérieur des forums Alloprof est interdite et pourra être considérée comme une violation du droit d'auteur.
Si tu ne veux pas changer les formes de tes équations de base, alors il faudrait utiliser cette méthode.
Encore une fois, la méthode à employer est à ton choix, dans tous les cas, tu obtiendras toujours la même réponse. Personnellement, j'ai une préférence pour la méthode de comparaison, je te conseille donc d'utiliser la méthode où tu es le plus à l'aise ;)
Si tu as d'autres questions, on est là!
Suggestions en lien avec la question
Suggestion en lien avec la question
Voici ce qui a été trouvé automatiquement sur le site, en espérant que ça t’aide!