Skip to content

Zone d’entraide

Question de l’élève

Secondaire 1 • 3a


image.jpg

Salut AlloProf, quelqu’un peut m’expliquer quelle est la mesure de chacun de angles tu triangle AEF?

Mathématiques
avatar
avatar

{t c="richEditor.description.title"} {t c="richEditor.description.paragraphMenu"} {t c="richEditor.description.inlineMenu"} {t c="richEditor.description.embed"}

Explications (2)

  • Explication vérifiée par Alloprof

    Explication vérifiée par Alloprof

    Cette explication a été vérifiée par un membre de l’équipe d’Alloprof.

    Options
    Pro de la zone d’entraide • 3a

    Bonjour FlamantFormidable9142,

    Merci d'avoir utilisé la zone d'entraide pour répondre à tes questions :D

    Tout d'abord, il est important de savoir que :

    • La somme des angles intérieurs d'un triangle est de 180 degrés.
    • Un triangle isocèle est également isoangle.

    Ensuite, tu devras trouver la valeur de l'angle au centre à l'aide de la formule 360/Nombre de côtés du polygone. Tu auras ainsi trouver la mesure de l'un des trois angles de ton triangle AEF, mais sachant que les deux autres sont isométriques, il est possible de les calculer grâce au premier point inscrit plus haut dans mon message!

    Pour plus d'information sur le développement de ce calcul, je te conseille de consulter cette fiche très complète : https://www.alloprof.qc.ca/fr/eleves/bv/mathematiques/les-polygones-reguliers-m1480

    J'espère que cela aura répondu à ta question et n'hésite surtout pas à nous écrire de nouveau !

    Bon travail,

    SaturneTenace1401

  • Explication d'un(e) pro de la Zone d'entraide Explication d'un(e) Pro

    Explication d'un(e) pro de la Zone d'entraide

    Tu peux faire confiance à cette explication, car elle est donnée par une personne identifiée comme étant fiable par Alloprof.

    Options
    Pro de la zone d’entraide • 3a April 2022 modifié

    Salut Flamant Formidable! :D

    Merci pour ta question!

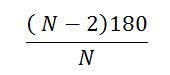
    Indice: si la figure est un octogone régulier, l'angle AFE est un angle intérieur de cette figure. Puis, le triangle AEF est isocèle et la somme des angles d'un triangle est de 180 degrés.

    La formule pour calculer la valeur de l'angle intérieur est

    image.png

    où N représente le nombre de côtés.

    Voici une fichepour plus d'informations.

    J'espère que cela t'a aidé(e). Si tu as d'autres questions, n'hésite pas.

Poser une question