Ce contenu est protégé par le droit d'auteur. Toute reproduction à l'extérieur des forums Alloprof est interdite et pourra être considérée comme une violation du droit d'auteur.
On doit d'abord mettre le nombre constant de l'autre côté de l'égalité.
Ce contenu est protégé par le droit d'auteur. Toute reproduction à l'extérieur des forums Alloprof est interdite et pourra être considérée comme une violation du droit d'auteur.
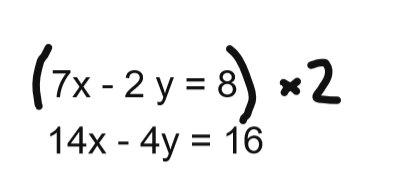
Ensuite, on doit multiplier une des équations afin d'obtenir le même nombre de x que dans l'autre.
Ce contenu est protégé par le droit d'auteur. Toute reproduction à l'extérieur des forums Alloprof est interdite et pourra être considérée comme une violation du droit d'auteur.
On soustrait enfin les équations entre elles.
Ce contenu est protégé par le droit d'auteur. Toute reproduction à l'extérieur des forums Alloprof est interdite et pourra être considérée comme une violation du droit d'auteur.
Le résultat est faux, donc le système d'équations n'a pas de solutions. Les droites ne se croisent pas, elles sont parallèles.
Ce contenu est protégé par le droit d'auteur. Toute reproduction à l'extérieur des forums Alloprof est interdite et pourra être considérée comme une violation du droit d'auteur.
Consulte cette fiche au besoin pour plus d'exemples.
L'idée est qu'en additionnant ou soustrayant une équation de l'autre, tu te trouves à éliminer un des inconnus.
Ici en multipliant la première équation par 2, tu auras 14x-4y=16
Donc en soustrayant l'une par l'autre tu élimines les x et tu peux donc déterminer le y qui satisfait ces deux équations. Par la suite en remplaçant le y dans une des équations, tu peux déterminer la valeur du x.
0
Suggestions en lien avec la question
Suggestion en lien avec la question
Voici ce qui a été trouvé automatiquement sur le site, en espérant que ça t’aide!
Comme le dit Fer Upsilon, en soustrayant la deuxième équation de 2 fois la première, on élimine les x et .... aussi les y !
On obtient 0 = 6 ce qui est faux.
Il n'y a donc pas de solution.
(Tu peux vérifier que les deux droites sont parallèles distinctes.)
Explication d'Alloprof
Cette explication a été donnée par un membre de l'équipe d'Alloprof.
Salut :D
On doit d'abord mettre le nombre constant de l'autre côté de l'égalité.
Ce contenu est protégé par le droit d'auteur. Toute reproduction à l'extérieur des forums Alloprof est interdite et pourra être considérée comme une violation du droit d'auteur.
Ensuite, on doit multiplier une des équations afin d'obtenir le même nombre de x que dans l'autre.
Ce contenu est protégé par le droit d'auteur. Toute reproduction à l'extérieur des forums Alloprof est interdite et pourra être considérée comme une violation du droit d'auteur.
On soustrait enfin les équations entre elles.
Ce contenu est protégé par le droit d'auteur. Toute reproduction à l'extérieur des forums Alloprof est interdite et pourra être considérée comme une violation du droit d'auteur.
Le résultat est faux, donc le système d'équations n'a pas de solutions. Les droites ne se croisent pas, elles sont parallèles.
Ce contenu est protégé par le droit d'auteur. Toute reproduction à l'extérieur des forums Alloprof est interdite et pourra être considérée comme une violation du droit d'auteur.
Consulte cette fiche au besoin pour plus d'exemples.
À bientôt :D N'hésite pas si tu as d'autres questions. :)
L'idée est qu'en additionnant ou soustrayant une équation de l'autre, tu te trouves à éliminer un des inconnus.
Ici en multipliant la première équation par 2, tu auras 14x-4y=16
Donc en soustrayant l'une par l'autre tu élimines les x et tu peux donc déterminer le y qui satisfait ces deux équations. Par la suite en remplaçant le y dans une des équations, tu peux déterminer la valeur du x.
Suggestions en lien avec la question
Suggestion en lien avec la question
Voici ce qui a été trouvé automatiquement sur le site, en espérant que ça t’aide!