Secondaire 4 • 3a
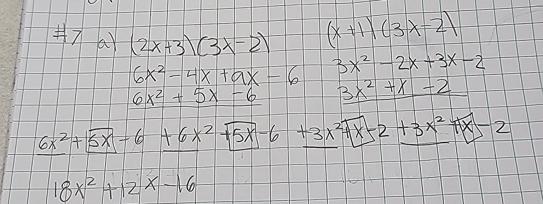
Bonjour, il faut que je trouver le polynôme qui représente l'aire totale de ce prisme, mais je n'arrive jamais à la bonne réponse. J'arrive à 18x^2+12x-16 et dans le corrigé 22x^2+22x+10. Je ne comprends vraiment pas comment ils sont arrivés à ce résultat. Pouvez-vous m'aider?
Merci d'avance :)


Explication vérifiée par Alloprof
Cette explication a été vérifiée par un membre de l’équipe d’Alloprof.
Bonjour Lune Calme
Merci de ta question
il y a 6 faces , donc 3 couples de multiplication
Ce contenu est protégé par le droit d'auteur. Toute reproduction à l'extérieur des forums Alloprof est interdite et pourra être considérée comme une violation du droit d'auteur.
1) Tu peux trouver les 2 premières faces en multipliant (2x+3) avec (x+1)
2) Tu peux trouver les 2 autres faces en multipliant (3x-2) avec (x+1)
3) Tu peux trouver les dernières faces en multipliant (2x+3) avec (3x-2)
Avec cela, tu devrais trouver la bonne réponse ;)
Voici une fiche Alloprof qui pourra t'aider
N'hésite pas si tu as d'autres questions
VC
Suggestions en lien avec la question
Suggestion en lien avec la question
Voici ce qui a été trouvé automatiquement sur le site, en espérant que ça t’aide!