Pouvez-vous m’aider à résoudre ce problème svp? Merci beaucoup!
Ce contenu est protégé par le droit d'auteur. Toute reproduction à l'extérieur des forums Alloprof est interdite et pourra être considérée comme une violation du droit d'auteur.
Je te conseille de dessiner des triangles rectangles équivalents, c'est-à-dire des triangles rectangles qui ont la même aire et de comparer leurs angles et périmètres.
Désolé pour la qualité des dessins, mais c'est juste pour une vue générale. Je n'ai écrit qu'une seule mesure d'angle car c'est plus vite.
Ce contenu est protégé par le droit d'auteur. Toute reproduction à l'extérieur des forums Alloprof est interdite et pourra être considérée comme une violation du droit d'auteur.
Ensuite, si tu veux aller plus loin:
Ce contenu est protégé par le droit d'auteur. Toute reproduction à l'extérieur des forums Alloprof est interdite et pourra être considérée comme une violation du droit d'auteur.
Sachant que l'aire totale (a) ne change pas, qu'arrive-t-il à l'angle téta quand la mesure du côté "b" augmente? Qu'arrive-t-il à cet angle quand le côté "b" diminue? Quelles seraient les différences entre les angles aigus dans les deux cas?
J'espère t'avoir aidé(e). Si tu as d'autres questions, sache que tu es toujours bienvenu(e)! :)
0
Explication vérifiée par Alloprof
Explication vérifiée par Alloprof
Cette explication a été vérifiée par un membre de l’équipe d’Alloprof.
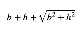
Puisqu'il s'agit de triangles rectangles équivalents cela veut dire que pour toute mesure b de la base et h de la hauteur du triangle rectangle, l'aire est la même:
A = bh/2
Le périmètre est
Ce contenu est protégé par le droit d'auteur. Toute reproduction à l'extérieur des forums Alloprof est interdite et pourra être considérée comme une violation du droit d'auteur.
Comme l'aire reste la même tu peux imaginer que plus un des angles est petit plus le périmètre va augmenter car l'aire doit rester la même.
0
Suggestions en lien avec la question
Suggestion en lien avec la question
Voici ce qui a été trouvé automatiquement sur le site, en espérant que ça t’aide!
Explication d'un(e) pro de la Zone d'entraide
Tu peux faire confiance à cette explication, car elle est donnée par une personne identifiée comme étant fiable par Alloprof.
Salut Elfe Rose! :D Merci pour ta question!
Je te conseille de dessiner des triangles rectangles équivalents, c'est-à-dire des triangles rectangles qui ont la même aire et de comparer leurs angles et périmètres.
Désolé pour la qualité des dessins, mais c'est juste pour une vue générale. Je n'ai écrit qu'une seule mesure d'angle car c'est plus vite.
Ce contenu est protégé par le droit d'auteur. Toute reproduction à l'extérieur des forums Alloprof est interdite et pourra être considérée comme une violation du droit d'auteur.
Ensuite, si tu veux aller plus loin:
Ce contenu est protégé par le droit d'auteur. Toute reproduction à l'extérieur des forums Alloprof est interdite et pourra être considérée comme une violation du droit d'auteur.
Sachant que l'aire totale (a) ne change pas, qu'arrive-t-il à l'angle téta quand la mesure du côté "b" augmente? Qu'arrive-t-il à cet angle quand le côté "b" diminue? Quelles seraient les différences entre les angles aigus dans les deux cas?
J'espère t'avoir aidé(e). Si tu as d'autres questions, sache que tu es toujours bienvenu(e)! :)
Explication vérifiée par Alloprof
Cette explication a été vérifiée par un membre de l’équipe d’Alloprof.
Puisqu'il s'agit de triangles rectangles équivalents cela veut dire que pour toute mesure b de la base et h de la hauteur du triangle rectangle, l'aire est la même:
A = bh/2
Le périmètre est
Ce contenu est protégé par le droit d'auteur. Toute reproduction à l'extérieur des forums Alloprof est interdite et pourra être considérée comme une violation du droit d'auteur.
Comme l'aire reste la même tu peux imaginer que plus un des angles est petit plus le périmètre va augmenter car l'aire doit rester la même.
Suggestions en lien avec la question
Suggestion en lien avec la question
Voici ce qui a été trouvé automatiquement sur le site, en espérant que ça t’aide!