Ce contenu est protégé par le droit d'auteur. Toute reproduction à l'extérieur des forums Alloprof est interdite et pourra être considérée comme une violation du droit d'auteur.
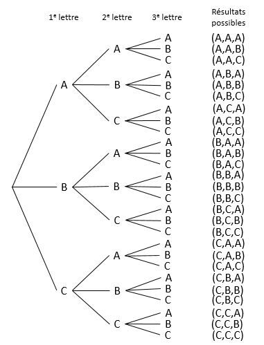
Pour faire le diagramme en arbre, tu dois commencer par séparer selon toutes les options que tu as. Tu auras donc 3 colonnes : salade, pizza et dessert.
Dans la première section, tu dois mettre les deux choix de salade. Puis, à chacun de ces choix de salade se rattachera les trois choix de pizza. Tu continue ensuite ainsi avec les choix de tarte pour chaque duo salade/pizza. Voici un exemple :
Ce contenu est protégé par le droit d'auteur. Toute reproduction à l'extérieur des forums Alloprof est interdite et pourra être considérée comme une violation du droit d'auteur.
Les combinaisons à droite sont le nombre de résultats possibles, donc dans le cas de ton exercice, le nombre de repas possible.
Si tu as d'autres questions, n'hésite pas à nous réécrire. Nous te répondrons avec plaisir!
Laurie :)
0
Suggestions en lien avec la question
Suggestion en lien avec la question
Voici ce qui a été trouvé automatiquement sur le site, en espérant que ça t’aide!
Explication d'Alloprof
Cette explication a été donnée par un membre de l'équipe d'Alloprof.
Bonjour!
Pour faire le diagramme en arbre, tu dois commencer par séparer selon toutes les options que tu as. Tu auras donc 3 colonnes : salade, pizza et dessert.
Dans la première section, tu dois mettre les deux choix de salade. Puis, à chacun de ces choix de salade se rattachera les trois choix de pizza. Tu continue ensuite ainsi avec les choix de tarte pour chaque duo salade/pizza. Voici un exemple :
Ce contenu est protégé par le droit d'auteur. Toute reproduction à l'extérieur des forums Alloprof est interdite et pourra être considérée comme une violation du droit d'auteur.
Les combinaisons à droite sont le nombre de résultats possibles, donc dans le cas de ton exercice, le nombre de repas possible.
Si tu as d'autres questions, n'hésite pas à nous réécrire. Nous te répondrons avec plaisir!
Laurie :)
Suggestions en lien avec la question
Suggestion en lien avec la question
Voici ce qui a été trouvé automatiquement sur le site, en espérant que ça t’aide!