Ce contenu est protégé par le droit d'auteur. Toute reproduction à l'extérieur des forums Alloprof est interdite et pourra être considérée comme une violation du droit d'auteur.
Pour le numéro deux je suis incapable de trouve la fin
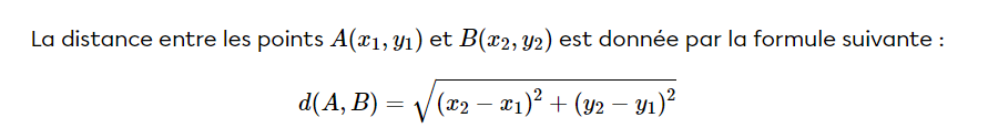
Si tu connais les points A et B, tu n'as qu'à utiliser la formule suivante:
Ce contenu est protégé par le droit d'auteur. Toute reproduction à l'extérieur des forums Alloprof est interdite et pourra être considérée comme une violation du droit d'auteur.
Voici une fiche qui t'explique comment calculer la distance entre deux points:
Explication d'Alloprof
Cette explication a été donnée par un membre de l'équipe d'Alloprof.
Salut ChromeDelta2985,
Merci pour ta question!
Si tu connais les points A et B, tu n'as qu'à utiliser la formule suivante:
Ce contenu est protégé par le droit d'auteur. Toute reproduction à l'extérieur des forums Alloprof est interdite et pourra être considérée comme une violation du droit d'auteur.
Voici une fiche qui t'explique comment calculer la distance entre deux points:
J'espère que ça t'aide et n'hésite pas à nous réécrire si tu as d'autres questions!
Anthony B.
Suggestions en lien avec la question
Suggestion en lien avec la question
Voici ce qui a été trouvé automatiquement sur le site, en espérant que ça t’aide!