Ce contenu est protégé par le droit d'auteur. Toute reproduction à l'extérieur des forums Alloprof est interdite et pourra être considérée comme une violation du droit d'auteur.
Je ne suis pas sur de comprendre ce numéro… Pouvez-vous m’aider? Merci!
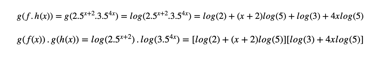
Ma conjecture serait que la composition de ces fonctions n'est pas une opération qui se distribue sur le produit de fonctions pour toutes les valeurs de x.
Ce contenu est protégé par le droit d'auteur. Toute reproduction à l'extérieur des forums Alloprof est interdite et pourra être considérée comme une violation du droit d'auteur.
Les deux expressions ne sont pas égales. Tu n'as qu'à le montrer pour une valeur de x.
0
Suggestions en lien avec la question
Suggestion en lien avec la question
Voici ce qui a été trouvé automatiquement sur le site, en espérant que ça t’aide!
Explication vérifiée par Alloprof
Cette explication a été vérifiée par un membre de l’équipe d’Alloprof.
Ma conjecture serait que la composition de ces fonctions n'est pas une opération qui se distribue sur le produit de fonctions pour toutes les valeurs de x.
Ce contenu est protégé par le droit d'auteur. Toute reproduction à l'extérieur des forums Alloprof est interdite et pourra être considérée comme une violation du droit d'auteur.
Les deux expressions ne sont pas égales. Tu n'as qu'à le montrer pour une valeur de x.
Suggestions en lien avec la question
Suggestion en lien avec la question
Voici ce qui a été trouvé automatiquement sur le site, en espérant que ça t’aide!