Secondaire 2 • 3a
Heeeeellllllllppppppp!!!!!!!
Mon exam de math est demain et j’ai un blanc de mémoire: je ne me rappelle plus comment résoudre cette équation algébrique PAR PROPORTION. Je sais que je pourrait fait 0,5x, mais si jamais je dois diviser par 3, je fais quoi????
Merci de votre aide!!

Explication vérifiée par Alloprof
Cette explication a été vérifiée par un membre de l’équipe d’Alloprof.
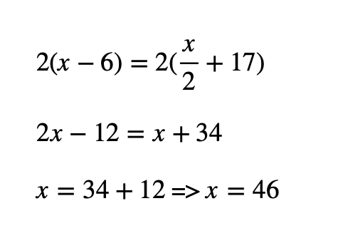
Pour se débarrasser d'une proportion dans une équation, tu multiplies les deux côtés par le dénominateur, ici 2, de cette manière, tu préserves l'égalité
Ce contenu est protégé par le droit d'auteur. Toute reproduction à l'extérieur des forums Alloprof est interdite et pourra être considérée comme une violation du droit d'auteur.
Suggestions en lien avec la question
Suggestion en lien avec la question
Voici ce qui a été trouvé automatiquement sur le site, en espérant que ça t’aide!