Secondaire 5 • 3a
Bonjour, j'ai quelques difficultés à réduire puis rationaliser les deux expressions suivantes. Merci d'avance.
Bonjour, j'ai quelques difficultés à réduire puis rationaliser les deux expressions suivantes. Merci d'avance.
bonjour,
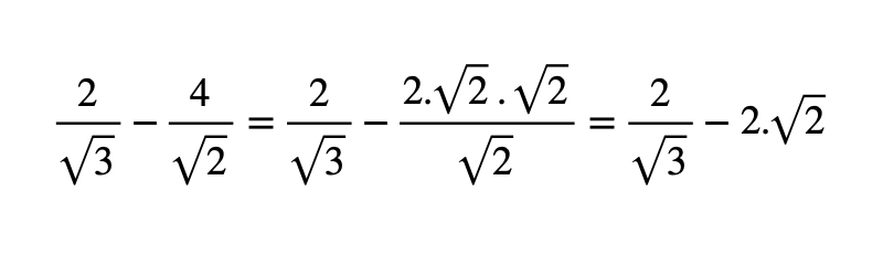
d) on rationalise les dénominateurs:
\[ =\frac{2}{\sqrt{3}}\cdot \frac{\sqrt{3}}{\sqrt{3}}-\frac{4}{\sqrt{2}}\cdot \frac{\sqrt{2}}{\sqrt{2}} \]
\[ =\ ...-\ 2\sqrt{2} \]
Et pour d) on ne peut pas autant simplifier
Ce contenu est protégé par le droit d'auteur. Toute reproduction à l'extérieur des forums Alloprof est interdite et pourra être considérée comme une violation du droit d'auteur.
Explication d'Alloprof
Cette explication a été donnée par un membre de l'équipe d'Alloprof.
Salut :D
Pour rendre plus facile les racines, on peut les transformer en exposant (à la 1/2 pour les racines carrées et à la 1/3 pour les racines cubiques).
Ce contenu est protégé par le droit d'auteur. Toute reproduction à l'extérieur des forums Alloprof est interdite et pourra être considérée comme une violation du droit d'auteur.
Ensuite, rappelle-toi de la loi sur les fractions qui dit que lorsqu'on divise par une fraction, ça revient à faire multiplié par l'inverse. On fait donc ça!
Ce contenu est protégé par le droit d'auteur. Toute reproduction à l'extérieur des forums Alloprof est interdite et pourra être considérée comme une violation du droit d'auteur.
On multiplie comme une fraction normale (numérateur fois numérateur sur dénominateur fois dénominateur).
Ce contenu est protégé par le droit d'auteur. Toute reproduction à l'extérieur des forums Alloprof est interdite et pourra être considérée comme une violation du droit d'auteur.
Maintenant, on a le même exposant, on peut donc l'appliquer à toute la fraction en suivant cette loi.
Ce contenu est protégé par le droit d'auteur. Toute reproduction à l'extérieur des forums Alloprof est interdite et pourra être considérée comme une violation du droit d'auteur.
Pour les réviser, c'est par ici.
Ensuite, tu auras à réduire la fraction à sa fraction irréductible. Tu pourras finalement remettre sous forme de racine carrée si tu le souhaites.
Bonne résolution :D À ta prochaine question :)
Suggestions en lien avec la question
Suggestion en lien avec la question
Voici ce qui a été trouvé automatiquement sur le site, en espérant que ça t’aide!