Secondaire 3 • 3a
Bonjour, j'ai posé la même question tantôt. J'ai continué le numéro, mais je suis bloquée. Merci!
Bonjour, j'ai posé la même question tantôt. J'ai continué le numéro, mais je suis bloquée. Merci!
Explication d'Alloprof
Cette explication a été donnée par un membre de l'équipe d'Alloprof.
Re salut!
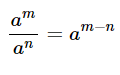
Tout d'abord, bon travail! Il ne te reste plus qu'une étape, celle où tu élimines la fraction en utilisant la loi suivante :
Ce contenu est protégé par le droit d'auteur. Toute reproduction à l'extérieur des forums Alloprof est interdite et pourra être considérée comme une violation du droit d'auteur.
Ainsi,
$$ \frac{2^{\frac{11}{6}}}{2}=2^{\frac{11}{6}-1}$$
Je te laisse effectuer la soustraction. Tu pourras ensuite transformer l'exposant fractionnaire en une racine selon la loi suivante :
Ce contenu est protégé par le droit d'auteur. Toute reproduction à l'extérieur des forums Alloprof est interdite et pourra être considérée comme une violation du droit d'auteur.
Reviens-nous si tu n'arrives pas au résultat!
Suggestions en lien avec la question
Suggestion en lien avec la question
Voici ce qui a été trouvé automatiquement sur le site, en espérant que ça t’aide!