Postsecondaire • 3a
Bonjour,
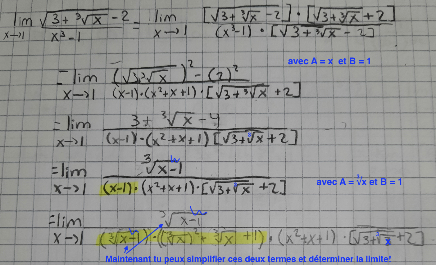
je ne comprends pas comment on est passé de (x-1) à la formule en jaune plus bas. On dirait la formule de A³-B³= (A-B)(A²+AB+B²) , mais je ne comprend toujours pas comment elle est devenue comme ça. Bonne soirée

Attention à ton écriture! (Ça pourrait compliquer la résolution de tes problèmes)
Ce contenu est protégé par le droit d'auteur. Toute reproduction à l'extérieur des forums Alloprof est interdite et pourra être considérée comme une violation du droit d'auteur.
Explication vérifiée par Alloprof
Cette explication a été vérifiée par un membre de l’équipe d’Alloprof.
bonjour,
on voit x-1 comme une différence de cubes et on applique la formule pour le factoriser.
x - 1 = (x^1/3)^3 - 1^3 = . . .
On a fait cela pour pouvoir simplifier au numérateur avec \( \sqrt[3]{x}-1 \).
Note: Alloprof couvre seulement le primaire et le secondaire.
Il n est pas garanti que tu auras toujours des réponses !
Suggestions en lien avec la question
Suggestion en lien avec la question
Voici ce qui a été trouvé automatiquement sur le site, en espérant que ça t’aide!