Skip to content

Zone d’entraide

Question de l’élève

Postsecondaire • 3a

Dans l'énoncé

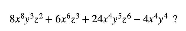
8x8y3z2 + 6x6z3 + 24x4y5z6 - 4x4y

2(x4 + y3 + z2) est le facteur commun le plus petit.


Oui, mais, pourquoi les parenthèses et les additions? Aucune multiplications?!

J'aurai bien vu 2x4y3z2 non?

Mathématiques
avatar
avatar

{t c="richEditor.description.title"} {t c="richEditor.description.paragraphMenu"} {t c="richEditor.description.inlineMenu"} {t c="richEditor.description.embed"}

Explications (1)

  • Explication vérifiée par Alloprof

    Explication vérifiée par Alloprof

    Cette explication a été vérifiée par un membre de l’équipe d’Alloprof.

    Options
    3a


    D'abord je pense que que tu utilises des exposants sans l'indiquer spécifiquement (par exemple x^8 plutôt que x8) mais alors il manque un y quelque part dans le deuxième terme car il n'est pas commun à tous les termes, même chose pour z au quatrième terme.

    image.png

    Tu pourrais envoyer une photo.

Poser une question