Secondaire 3 • 3a
Bonjour
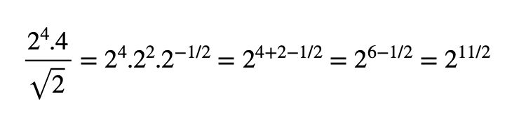
nous cherchons à comprendre comment résoudre et obtenir la réponse de la question G. La réponse d’après le corrigé est : 2 11/2
Bonjour
nous cherchons à comprendre comment résoudre et obtenir la réponse de la question G. La réponse d’après le corrigé est : 2 11/2
Explication vérifiée par Alloprof
Cette explication a été vérifiée par un membre de l’équipe d’Alloprof.
Ce contenu est protégé par le droit d'auteur. Toute reproduction à l'extérieur des forums Alloprof est interdite et pourra être considérée comme une violation du droit d'auteur.
Suggestions en lien avec la question
Suggestion en lien avec la question
Voici ce qui a été trouvé automatiquement sur le site, en espérant que ça t’aide!