Secondaire 4 • 3a
J'aimerais savoir comment factoriser étapes par étapes (avec la mise en évidence simple) le polynome suivant:
les ^ signifie que le chiffe qui le suit est un exposant et x une variable.
18x^5 (3x+2)^5 + 5x^4(3x+2)^6
J'ai beaucoup de difficulté avec les parenthèses avec des exposants...
Explication vérifiée par Alloprof
Cette explication a été vérifiée par un membre de l’équipe d’Alloprof.
Afin d'effectuer une mise en évidence, il faut réussir à sortir le maximum de termes qui sont communs à tous les morceaux de l'équation:
Ce contenu est protégé par le droit d'auteur. Toute reproduction à l'extérieur des forums Alloprof est interdite et pourra être considérée comme une violation du droit d'auteur.
Ici, nous voyons qu'il y a du x (bleu) ainsi que 3x+2 (rouge) qui pourrait potentiellement être retiré. Essayons-le!
Pour le x:
On a x^5 à gauche et x^4 à droite. Le max qu'on peut sortir, c'est x^4.
Pour le 3x+2:
C'est le même principe. À gauche on a (3x+2)^5 et ^6 à droite. On va donc pouvoir le sortir 5 fois.
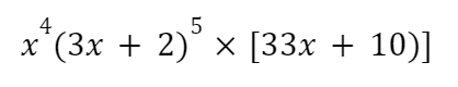
Ensuite, on va réécrire les deux termes qu'on a sortit, suivi d'un crochet (ou une grosse parenthèse) dans lequel on jette tout ce qui reste de notre équation:
Ce contenu est protégé par le droit d'auteur. Toute reproduction à l'extérieur des forums Alloprof est interdite et pourra être considérée comme une violation du droit d'auteur.
Le problème est maintenant majoritairement terminé. Tout ce qu'il reste, c'est de multiplier notre 5 avec le (3x+2) pour se débarasser de la parenthèse:
Ce contenu est protégé par le droit d'auteur. Toute reproduction à l'extérieur des forums Alloprof est interdite et pourra être considérée comme une violation du droit d'auteur.
Finalement, on peut réunir notre 18x et notre 15x afin d'obtenir la réponse finale:
Ce contenu est protégé par le droit d'auteur. Toute reproduction à l'extérieur des forums Alloprof est interdite et pourra être considérée comme une violation du droit d'auteur.
J'espère que ça t'as aidé. Si tu as d'autres questionnements. N'hésites pas!
Suggestions en lien avec la question
Suggestion en lien avec la question
Voici ce qui a été trouvé automatiquement sur le site, en espérant que ça t’aide!