Skip to content

Zone d’entraide

Question de l’élève

Secondaire 5 • 3a

Bonjour, j'ai un problème de math que je ne comprends pas. Ça serait très apprécié si vous m'aidez.

Question: Suppose que la somme des carrés de trois nombres entiers consécutifs est de 110. Quels sont les trois nombres?

Merci d'avance!

Mathématiques
avatar
avatar

{t c="richEditor.description.title"} {t c="richEditor.description.paragraphMenu"} {t c="richEditor.description.inlineMenu"} {t c="richEditor.description.embed"}

Explications (2)

  • Explication vérifiée par Alloprof

    Explication vérifiée par Alloprof

    Cette explication a été vérifiée par un membre de l’équipe d’Alloprof.

    Options
    3a

    bonjour,

    En posant x, le deuxième de ces nombres, l équation sera plus simple à résoudre:

    (x-1)²+x²+(x+1)² = 110

  • Options
    3a


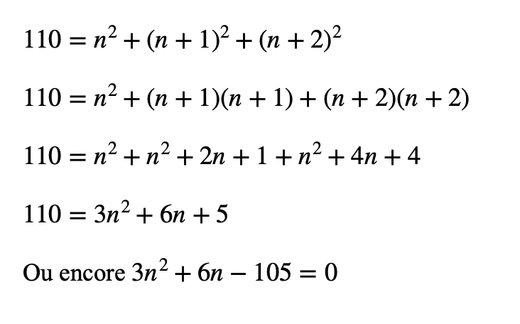
    Soit n, le premier des nombres entiers consécutifs dont la somme des carrés est de 110, alors

    image.png

    Que tu devrais pouvoir résoudre.

Poser une question