Ce contenu est protégé par le droit d'auteur. Toute reproduction à l'extérieur des forums Alloprof est interdite et pourra être considérée comme une violation du droit d'auteur.
Bonjour, j'aimerais comprendre comment calculer l'es fraction dans l'algèbre merci
Ce contenu est protégé par le droit d'auteur. Toute reproduction à l'extérieur des forums Alloprof est interdite et pourra être considérée comme une violation du droit d'auteur.
Ensuite, il faut mettre les x de l'autre côté sur le même dénominateur pour pouvoir les soustraire (on met le 4x sur 3 en multipliant son numérateur pas 3, ce qui donnera 12x/3). On peut aussi l'écrire comme ici.
Ce contenu est protégé par le droit d'auteur. Toute reproduction à l'extérieur des forums Alloprof est interdite et pourra être considérée comme une violation du droit d'auteur.
Il ne te reste qu'à soustraire 7/3 à 12/3 pour te donner le nombre de x. Continue pour isoler x à partir de là.
Bonne résolution :D N'hésite pas si tu as d'autres questions :)
0
Explication d'un(e) pro de la Zone d'entraideExplication d'un(e) Pro
Explication d'un(e) pro de la Zone d'entraide
Tu peux faire confiance à cette explication, car elle est donnée par une personne identifiée comme étant fiable par Alloprof.
Bonjour LithiumUpsilon5167, merci d’avoir utiliser la zone d’entraide pour répondre à tes questions!
Tout d’abord, tu dois regrouper tous les termes avec la variable x d’un côté de l’égalité et les groupes constants de l’autre côté de l’égalité. Ensuite, tu dois mettre les termes avec la variable x sur un dénominateur commun. Puis, tu multiplies de chaque côté de l’égalité par le dénominateur. Je te laisse isoler la variable x.
Explication d'Alloprof
Cette explication a été donnée par un membre de l'équipe d'Alloprof.
Salut :D
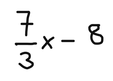
Pour t'aider, tu peux le mettre sous cette forme.
Ce contenu est protégé par le droit d'auteur. Toute reproduction à l'extérieur des forums Alloprof est interdite et pourra être considérée comme une violation du droit d'auteur.
Ensuite, il faut mettre les x de l'autre côté sur le même dénominateur pour pouvoir les soustraire (on met le 4x sur 3 en multipliant son numérateur pas 3, ce qui donnera 12x/3). On peut aussi l'écrire comme ici.
Ce contenu est protégé par le droit d'auteur. Toute reproduction à l'extérieur des forums Alloprof est interdite et pourra être considérée comme une violation du droit d'auteur.
Il ne te reste qu'à soustraire 7/3 à 12/3 pour te donner le nombre de x. Continue pour isoler x à partir de là.
Bonne résolution :D N'hésite pas si tu as d'autres questions :)
Explication d'un(e) pro de la Zone d'entraide
Tu peux faire confiance à cette explication, car elle est donnée par une personne identifiée comme étant fiable par Alloprof.
Bonjour LithiumUpsilon5167, merci d’avoir utiliser la zone d’entraide pour répondre à tes questions!
Tout d’abord, tu dois regrouper tous les termes avec la variable x d’un côté de l’égalité et les groupes constants de l’autre côté de l’égalité. Ensuite, tu dois mettre les termes avec la variable x sur un dénominateur commun. Puis, tu multiplies de chaque côté de l’égalité par le dénominateur. Je te laisse isoler la variable x.
Voici une fiche qui traite de la résolution d’une équation de degré 1: https://www.alloprof.qc.ca/fr/eleves/bv/mathematiques/equation-ou-une-inequation-de-degre-1-m1085
J’espère que cela t’a aidé. N’hésite pas à poser des questions à nouveau! Bonne étude,
PapillonTurquoise5300
Suggestions en lien avec la question
Suggestion en lien avec la question
Voici ce qui a été trouvé automatiquement sur le site, en espérant que ça t’aide!