Secondaire 2 • 3a
Bonjour! J'ai un problème en mathématique. Voici le problème : 2exposantxz
x=-1
z=5
Je ne sais pas faire d'exposant à l'ordi c'est pour ça ;)
Entre les lettres il n'y a pas de symboles, mais on suppose que c'est un x .
Merci!

Explication d'Alloprof
Cette explication a été donnée par un membre de l'équipe d'Alloprof.
Salut!
On a :
$$ 2^x \times z$$
Et on sait que x=-1 et z=5
On peut alors remplacer les variables par leur valeur dans notre expression de base :
$$ 2^{-1} \times 5$$
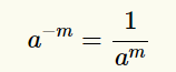
Tu peux ensuite utiliser la loi des exposants suivante :
Ce contenu est protégé par le droit d'auteur. Toute reproduction à l'extérieur des forums Alloprof est interdite et pourra être considérée comme une violation du droit d'auteur.
Pour avoir :
$$ \frac{1}{2} \times 5$$
Puis :
$$ \frac{1\times 5}{2} $$
$$ \frac{5}{2} = 2,5$$
J'espère que c'est plus clair pour toi! :)
Suggestions en lien avec la question
Suggestion en lien avec la question
Voici ce qui a été trouvé automatiquement sur le site, en espérant que ça t’aide!