Secondaire 5 • 3a
Bonsoir je ne comprends pas cet exercice? Qu’est-ce que je doit trouver ? J’ai les réponses mais je ne comprends pas comment m’y rendre
Bonsoir je ne comprends pas cet exercice? Qu’est-ce que je doit trouver ? J’ai les réponses mais je ne comprends pas comment m’y rendre
Explication d'Alloprof
Cette explication a été donnée par un membre de l'équipe d'Alloprof.
Salut!
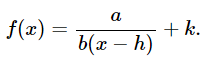
Les équations des asymptotes sont x=h et y=k. Voici un exemple :
Ce contenu est protégé par le droit d'auteur. Toute reproduction à l'extérieur des forums Alloprof est interdite et pourra être considérée comme une violation du droit d'auteur.
Pour trouver les asymptotes de la fonction P(n)=(15n-350)/n, on doit d'abord écrire la règle sous sa forme canonique, soit :
Ce contenu est protégé par le droit d'auteur. Toute reproduction à l'extérieur des forums Alloprof est interdite et pourra être considérée comme une violation du droit d'auteur.
Pour ce faire, on peut commencer par distribuer la division sur chaque terme du numérateur, comme ceci :
$$ P(n)= \frac{15n}{n}-\frac{350}{n}$$
On simplifie le premier terme :
$$ P(n)= 15-\frac{350}{n}$$
Et on peut écrire explicitement les différents paramètres de la fonction :
$$ P(n)= \frac{-350}{1(n-0)}+15$$
On obtient donc a = -350, b = 1, h = 0 et k=15.
Si tu as d'autres questions, n'hésite pas à nous réécrire! :)
Suggestions en lien avec la question
Suggestion en lien avec la question
Voici ce qui a été trouvé automatiquement sur le site, en espérant que ça t’aide!