Je dois simplifier cette équation et je me demande si j'étais bien parti.
Ce contenu est protégé par le droit d'auteur. Toute reproduction à l'extérieur des forums Alloprof est interdite et pourra être considérée comme une violation du droit d'auteur.
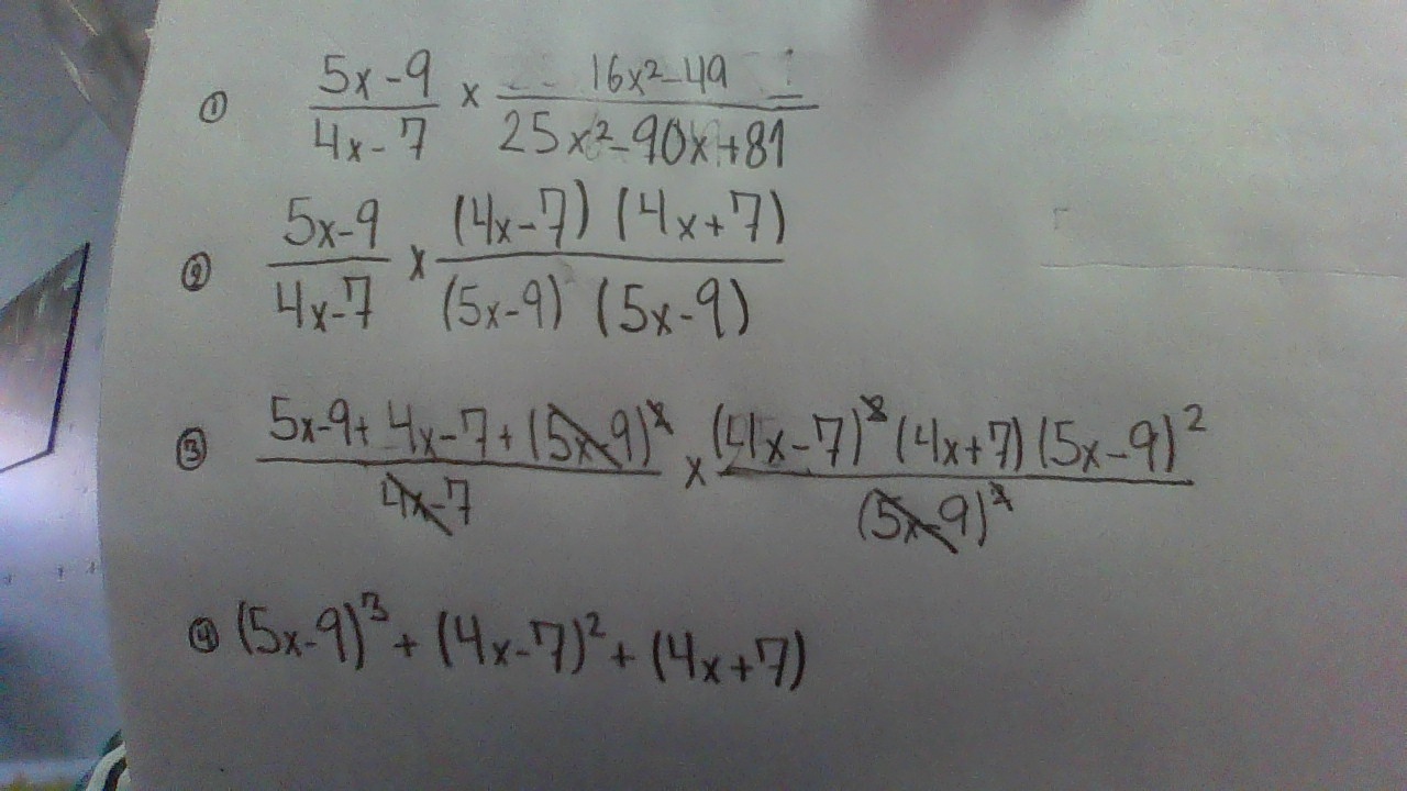
Je ne suis pas sûre d'avoir compris ce que tu as fait entre l'étape 2 et 3
Ce contenu est protégé par le droit d'auteur. Toute reproduction à l'extérieur des forums Alloprof est interdite et pourra être considérée comme une violation du droit d'auteur.
Tu avais un produit de facteurs à l'étape 2, tu ne dois pas rajouter de signe d'addition entre les facteurs comme tu l'as fait à l'étape 3. Donc, après l'étape 2, tu devrais avoir ceci :
Explication d'Alloprof
Cette explication a été donnée par un membre de l'équipe d'Alloprof.
Salut!
Je ne suis pas sûre d'avoir compris ce que tu as fait entre l'étape 2 et 3
Ce contenu est protégé par le droit d'auteur. Toute reproduction à l'extérieur des forums Alloprof est interdite et pourra être considérée comme une violation du droit d'auteur.
Tu avais un produit de facteurs à l'étape 2, tu ne dois pas rajouter de signe d'addition entre les facteurs comme tu l'as fait à l'étape 3. Donc, après l'étape 2, tu devrais avoir ceci :
$$ \frac{(5x-9)(4x-7)(4x+7)}{(4x-7)(5x-9)(5x-9)}$$
Puis, tu dois calculer tes restrictions, et ensuite simplifier les termes communs au numérateur et au dénominateur, soit (5x-9) et (4x-7) :
$$ \frac{(4x+7)}{(5x-9)}$$
Voilà! Si tu as d'autres questions, n'hésite pas à nous réécrire! :)
Suggestions en lien avec la question
Suggestion en lien avec la question
Voici ce qui a été trouvé automatiquement sur le site, en espérant que ça t’aide!