Je n'arrive pas à trouver le résultat de cette lettre
Ce contenu est protégé par le droit d'auteur. Toute reproduction à l'extérieur des forums Alloprof est interdite et pourra être considérée comme une violation du droit d'auteur.
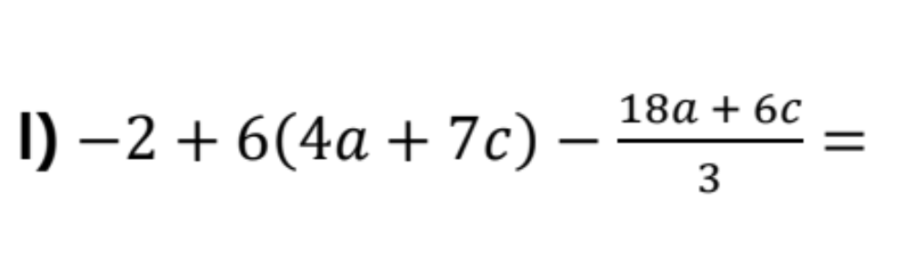
Pour réussir à répondre à cet énoncé, tu devras d'abord redistribuer tes termes d'un côté et de l'autre du égal (=). De cette façon, tu auras davantage de facilité à isoler par la suite!
Tu peux considérer qu'il y a un zéro de l'autre côté du symbole égal (=) pour l'instant. Tu peux donc faire bouger le terme 18a+6c/3 pour le mettre de l'autre côté! N'oublie pas les règles de transformation quand un terme passe d'un autre côté du symbole =!
Tu peux aussi aller voir les différentes façons d'isoler un terme sur cette fiche! Certaines techniques pourront peut-être t'éclairer!
Explication d'Alloprof
Cette explication a été donnée par un membre de l'équipe d'Alloprof.
Bonjour à toi, PapillonComique1931!
Merci pour ta question!
Pour réussir à répondre à cet énoncé, tu devras d'abord redistribuer tes termes d'un côté et de l'autre du égal (=). De cette façon, tu auras davantage de facilité à isoler par la suite!
Tu peux considérer qu'il y a un zéro de l'autre côté du symbole égal (=) pour l'instant. Tu peux donc faire bouger le terme 18a+6c/3 pour le mettre de l'autre côté! N'oublie pas les règles de transformation quand un terme passe d'un autre côté du symbole =!
Tu peux aussi aller voir les différentes façons d'isoler un terme sur cette fiche! Certaines techniques pourront peut-être t'éclairer!
https://www.alloprof.qc.ca/fr/eleves/bv/mathematiques/les-methodes-generales-de-resolution-d-equati-m1452
En espérant que cette réponse t'aidera! Si tu ressens que tu as encore besoin d'aide, n'hésite pas à nous réécrire! :)
Suggestions en lien avec la question
Suggestion en lien avec la question
Voici ce qui a été trouvé automatiquement sur le site, en espérant que ça t’aide!