Secondaire 5 • 3a
bonjour, j'avais une question concernant les exposants. Si j'ai par exemple -3^2/3 un exposant fractionnaire de 2/3 est-ce que mon -3 devient automatiquement positif car le numérateur de mon exposant fractionnaire est un chiffre pair ? merci d'Avance
Explication d'Alloprof
Cette explication a été donnée par un membre de l'équipe d'Alloprof.
Salut !
Pour mieux comprendre la fraction, tu peux la transformée à l'aide des lois des exposants :
Tu peux réécrire l'exposant comme suit :
$$ (-3)^{\frac{2}{3}}=((-3)^{2})^{\frac{1}{3}} $$
Et tu peux te dire que cela équivaut à \((-3)^{\frac{2}{3}}=((-3)^{2})^{\frac{1}{3}}\).
Si tu as d'autres questions, n'hésite pas !
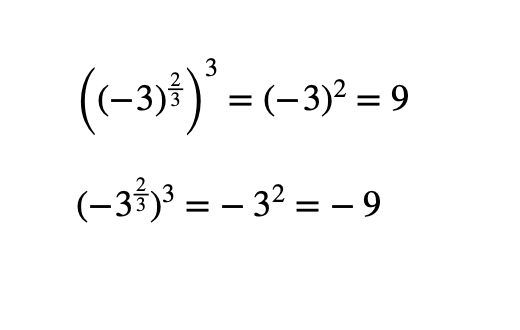
si c'est (-3)^(2/3)
alors on a -3 exposant 2/3. si cette expression était mise au cube alors
( (-3)^(2/3) )^3 = (-3)^2 = 9
par contre pour -3^(2/3)
on aurait ( -3^(2/3) )^3 = -3^2 = -9
oui la notation est très importante
et c'est plus simple quand c'est écrit à la main ou avec un logiciel comme Latex
Ce contenu est protégé par le droit d'auteur. Toute reproduction à l'extérieur des forums Alloprof est interdite et pourra être considérée comme une violation du droit d'auteur.
Ce contenu est protégé par le droit d'auteur. Toute reproduction à l'extérieur des forums Alloprof est interdite et pourra être considérée comme une violation du droit d'auteur.
Suggestions en lien avec la question
Suggestion en lien avec la question
Voici ce qui a été trouvé automatiquement sur le site, en espérant que ça t’aide!