Secondaire 4 • 3a
allo, j'avais une question sur la loi des cosinus: est-ce qu'on peut juste écrire cela au lieu de a^2 (pareil pour les côtés b et c)? C'est un peu comme c= racine carrée de la somme des cathètes au carré dans le théorème de pythagore.

On désigne les angles par une lettre majuscule pour ne pas les confondre avec les côtés.
Ainsi, il faut écrire cos(C).
Explication d'Alloprof
Cette explication a été donnée par un membre de l'équipe d'Alloprof.
Salut!
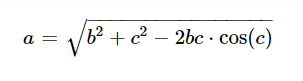
Oui bien sûr, il est possible d’écrire cela. Dans ton équation de la loi des cosinus, soit :
Ce contenu est protégé par le droit d'auteur. Toute reproduction à l'extérieur des forums Alloprof est interdite et pourra être considérée comme une violation du droit d'auteur.
on effectue simplement une racine carrée de chaque côté de l’équation, et \(\sqrt{a^2}\) devient a :
$$ a^2 = b^2 + c^2 - 2bccosA$$
$$ \sqrt{a^2} = \sqrt{b^2 + c^2 - 2bccosA}$$
$$ a= \sqrt{b^2 + c^2 - 2bccosA}$$
Attention à ne pas simplifier les exposants deux à l’intérieur de la parenthèse, ou encore à distribuer la racine sur chaque terme!
Bonne journée! :)
Suggestions en lien avec la question
Suggestion en lien avec la question
Voici ce qui a été trouvé automatiquement sur le site, en espérant que ça t’aide!