Secondaire 4 • 3a
Comment fait-on pour déterminer les restrictions a établir dans une expression rationnelle? je ne comprend pas trop cette partie de matière! Merci
Comment fait-on pour déterminer les restrictions a établir dans une expression rationnelle? je ne comprend pas trop cette partie de matière! Merci
bonjour,
Dans l exemple de Katia, la restriction est
\[ x \neq \frac{2}{7} \]
réf.
Salut ! il y a quelque jour, j'ai fait ce chapitre alors, je peux t'aider ! :) les restrictions, c'est très simple, mais TRÈS important dans les fractions rationnelles ! déjà ça sert d'un moyen pour s'assurer que ta variable ne soit pas égale à chiffre qui, quand tu le multiplies a ton dénominateur te donne zéro car si c'est zéro alors ton dénominateur donne une valeur de 0 et on ne veut surtout pas cela ! : Une expression rationnelle n'est pas définie quand le dénominateur est égal à zéro. Il faut restreindre la valeur de la variable de manière que le dénominateur ne soit pas égal à zéro.
Bon alors, dans ce cas, comment dois-je faire pour calculer une restriction ? Je vais tous t'expliquer ! :D prenons comme exemple ceci :
Ce contenu est protégé par le droit d'auteur. Toute reproduction à l'extérieur des forums Alloprof est interdite et pourra être considérée comme une violation du droit d'auteur.
quand on fait une restriction, on l'écrit de cette façon :
Ce contenu est protégé par le droit d'auteur. Toute reproduction à l'extérieur des forums Alloprof est interdite et pourra être considérée comme une violation du droit d'auteur.
il faut d'abord isoler le x, mais y a un nombre qui me gêne, le 9 donc on envoie le 9 de l'autre coter, ce qui fait -9
:
Ce contenu est protégé par le droit d'auteur. Toute reproduction à l'extérieur des forums Alloprof est interdite et pourra être considérée comme une violation du droit d'auteur.
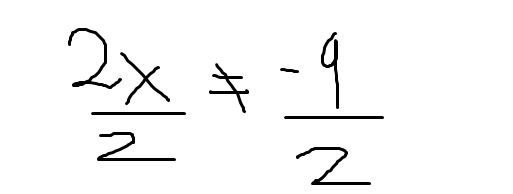
ensuite, on doit diviser par 2 des deux coter pour isoler x :
Ce contenu est protégé par le droit d'auteur. Toute reproduction à l'extérieur des forums Alloprof est interdite et pourra être considérée comme une violation du droit d'auteur.
et ensuite on n'écrit la réponse finale :
Ce contenu est protégé par le droit d'auteur. Toute reproduction à l'extérieur des forums Alloprof est interdite et pourra être considérée comme une violation du droit d'auteur.
Si on peut réduire le -9/2 on doit le faire, mais dans ce cas, on ne peut pas ! j'espère que tu as compris avec mes explications, :) tu peux aussi aller voir les fiches d'Alloprof pour t'aider et notamment sur internet ou sur YouTube ! :D
Explication d'Alloprof
Cette explication a été donnée par un membre de l'équipe d'Alloprof.
Salut!
Un dénominateur ne peut jamais être égal à 0. Ainsi, tu dois calculer la valeur de x qui fait en sorte que le dénominateur sera 0, ce sera ta restriction! En d'autres mots, tu résous ceci :
expression au dénominateur contenant la variable x ≠ 0
Voici un exemple :
$$ \frac{2x+3}{7x-2} $$
On calcule ceci :
$$7x-2≠0$$
$$7x≠2$$
La restriction est donc :
$$x≠\frac{2}{7}$$
J’espère que c’est plus clair pour toi! :)
Suggestions en lien avec la question
Suggestion en lien avec la question
Voici ce qui a été trouvé automatiquement sur le site, en espérant que ça t’aide!