Skip to content

Zone d’entraide

Question de l’élève

Secondaire 4 • 3a

jai une question dans mon cahier que je ne comprends pas:

Trouver chacune des paraboles suivante, trouve les coordonnées du sommet de l'équationn de l'axe de symétrie.

les points sont:

y=-2x exposant 2+6

y=-3x exposant 2+6x-6

y=2x exposant 2-3x


est ce que je peux avoir des expliquation sur comment faire? est ce qu'il existe des formule pour sa?

Mathématiques
avatar
avatar

{t c="richEditor.description.title"} {t c="richEditor.description.paragraphMenu"} {t c="richEditor.description.inlineMenu"} {t c="richEditor.description.embed"}

Explications (2)

  • Options
    3a December 2022 modifié


    « trouve les coordonnées du sommet de l'équationn de l'axe de symétrie. »

    On devrait plutôt écrire

    « trouve les coordonnées du sommet de la parabole, situé sur l'axe de symétrie. »

  • Explication d'Alloprof

    Explication d'Alloprof

    Cette explication a été donnée par un membre de l'équipe d'Alloprof.

    Options
    Équipe Alloprof • 3a

    Bonjour Diplodocus Admirable!

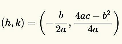
    Ici, il s'agit de connaître les rôles des paramètres dans les différentes formes de la fonction polynomiale de deuxième degré.

    Dans la forme canonique, \(y = a (x-h)^2 + k\), le sommet est donné par les coordonnées (h, k). Ainsi, pour la règle \(y = 2x^2 +6\), le sommet est de (0,6).

    Dans la forme générale, \( y = ax^2 +bx + c\), les coordonnées du sommet sont déterminées à l'aide de la formule suivante:

    image.png

    J'espère que cela t'aidera!

Poser une question