Secondaire 4 • 3a
savez-vous comment résoudre 2x^2-24x+120 avec la méthode somme produit (maths SN) (factorisation)
savez-vous comment résoudre 2x^2-24x+120 avec la méthode somme produit (maths SN) (factorisation)
↓
On peut mettre 2 en évidence:
2x^2-24x+120 = 2(x²-12x+60)
Le discriminant (-12)²-4*1*60 est négatif, donc pas de factorisation possible.
Explication vérifiée par Alloprof
Cette explication a été vérifiée par un membre de l’équipe d’Alloprof.
Salut :D
ax² + bx +c
Le produit-somme, c'est
Or, dans ton cas, il n'y a pas de factorisation :
Ce contenu est protégé par le droit d'auteur. Toute reproduction à l'extérieur des forums Alloprof est interdite et pourra être considérée comme une violation du droit d'auteur.
f(x) = 2x²-24x+120 ne sera jamais égal à zéro.
et
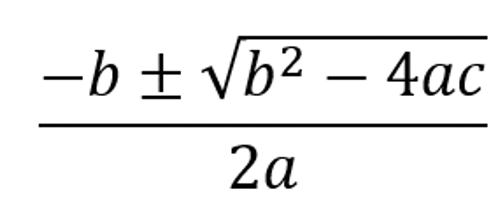
avec la formule quadratique, on trouve une racine carrée négative
Ce contenu est protégé par le droit d'auteur. Toute reproduction à l'extérieur des forums Alloprof est interdite et pourra être considérée comme une violation du droit d'auteur.
En espérant t'avoir aidé(e) (:
Suggestions en lien avec la question
Suggestion en lien avec la question
Voici ce qui a été trouvé automatiquement sur le site, en espérant que ça t’aide!