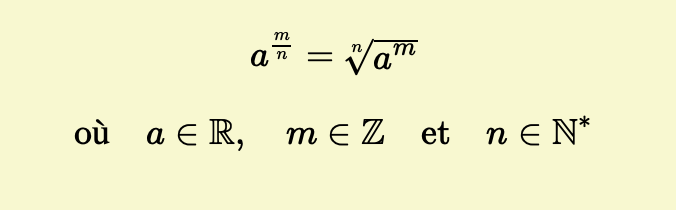
Imagines le radical comme un exposant fractionnaire.
Donc, disons que tu as une racine carrée de 3, donc ta réponse serait égale au résultat de 3 exposant 1/2.
Ce contenu est protégé par le droit d'auteur. Toute reproduction à l'extérieur des forums Alloprof est interdite et pourra être considérée comme une violation du droit d'auteur.
En plus de détails, remplace le "a" avec le 3 dans l'exemple. Le 3 a un exposant 1 sous entendu qui remplace la variable "m". Le "n" est remplacé par 2, que l'on retire du fait qu'il s'agit d'une racine carrée. Donc, finalement, "a" exposant m/n = 3 exposant 1/2.
0
Suggestions en lien avec la question
Suggestion en lien avec la question
Voici ce qui a été trouvé automatiquement sur le site, en espérant que ça t’aide!
Tu peux t'aider de ce lien aussi. https://www.alloprof.qc.ca/fr/eleves/bv/mathematiques/les-lois-des-exposants-m1044
Explication vérifiée par Alloprof
Cette explication a été vérifiée par un membre de l’équipe d’Alloprof.
Imagines le radical comme un exposant fractionnaire.
Donc, disons que tu as une racine carrée de 3, donc ta réponse serait égale au résultat de 3 exposant 1/2.
Ce contenu est protégé par le droit d'auteur. Toute reproduction à l'extérieur des forums Alloprof est interdite et pourra être considérée comme une violation du droit d'auteur.
En plus de détails, remplace le "a" avec le 3 dans l'exemple. Le 3 a un exposant 1 sous entendu qui remplace la variable "m". Le "n" est remplacé par 2, que l'on retire du fait qu'il s'agit d'une racine carrée. Donc, finalement, "a" exposant m/n = 3 exposant 1/2.
Suggestions en lien avec la question
Suggestion en lien avec la question
Voici ce qui a été trouvé automatiquement sur le site, en espérant que ça t’aide!