Ce contenu est protégé par le droit d'auteur. Toute reproduction à l'extérieur des forums Alloprof est interdite et pourra être considérée comme une violation du droit d'auteur.
BOnsoir, on peut m'aider? je en sdusi pas trop sur comment mon prof s'est rendu a cela
Ce contenu est protégé par le droit d'auteur. Toute reproduction à l'extérieur des forums Alloprof est interdite et pourra être considérée comme une violation du droit d'auteur.
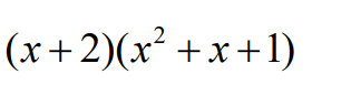
Je crois que ton enseignant a utilisé le test des racines rationnelles où l'on factorise par p, le coefficient meneur, et q, la constante. Le facteur aura la forme p*x+q.
Le coefficient qui mène est 1 (car x^3 a un coefficient 1) et la constante est 2. Donc, on met (x+2) en évidence!
Par la suite, tu mets en parenthèse ce que x+2 doit multiplier pour obtenir ton expression de départ.
Explication d'Alloprof
Cette explication a été donnée par un membre de l'équipe d'Alloprof.
Bonjour,
Je crois que ton enseignant a utilisé le test des racines rationnelles où l'on factorise par p, le coefficient meneur, et q, la constante. Le facteur aura la forme p*x+q.
Le coefficient qui mène est 1 (car x^3 a un coefficient 1) et la constante est 2. Donc, on met (x+2) en évidence!
Par la suite, tu mets en parenthèse ce que x+2 doit multiplier pour obtenir ton expression de départ.
N'hésite pas si tu as d'autres questions!
☺
Il s est peut-être rendu compte que -2 est un zéro, d où x+2 est un facteur.
Ensuite il a effectué une division par crochet pour trouver l autre facteur.
Faudrait lui demander !
Suggestions en lien avec la question
Suggestion en lien avec la question
Voici ce qui a été trouvé automatiquement sur le site, en espérant que ça t’aide!