Secondaire 1 • 3a
Comment est-ce que tu mesure le périmètre d'un ovale?
Je ne sais pas si c'est secondaire 1 ou 2.
Comment est-ce que tu mesure le périmètre d'un ovale?
Je ne sais pas si c'est secondaire 1 ou 2.
Explication d'Alloprof
Cette explication a été donnée par un membre de l'équipe d'Alloprof.
Salut!
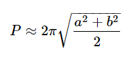
Comme expliqué par OursBrave3043, une des formules permettant de calculer approximativement le périmètre d'un ovale est :
Ce contenu est protégé par le droit d'auteur. Toute reproduction à l'extérieur des forums Alloprof est interdite et pourra être considérée comme une violation du droit d'auteur.
Ce contenu est protégé par le droit d'auteur. Toute reproduction à l'extérieur des forums Alloprof est interdite et pourra être considérée comme une violation du droit d'auteur.
Il existe plusieurs autres formules, je t'invite à consulter ce site si tu es curieux d'en apprendre davantage : Périmètre d'une ellipse - Mathweb.fr
Sache que cette notion n'est pas couverte au secondaire. On te demande plutôt de connaître la formule de périmètre d'un cercle, appelé circonférence :
Ce contenu est protégé par le droit d'auteur. Toute reproduction à l'extérieur des forums Alloprof est interdite et pourra être considérée comme une violation du droit d'auteur.
J'espère que c'est plus clair pour toi! :)
Explication d'un(e) pro de la Zone d'entraide
Tu peux faire confiance à cette explication, car elle est donnée par une personne identifiée comme étant fiable par Alloprof.
Bonjour CarboneLibre6422,
Merci d'avoir utilisé la zone d'entraide pour répondre à ta question.
Pour débuter, il faut que tu comprennes qu'il est très difficile de mesurer le périmètre d'un ovale avec précision, il faudrait plutôt le calculer. La formule pour le périmètre d'un ovale est :
P≈π(3(a+b)−√(3a+b)(a+3b))
Par contre, il est très improbable que vous appreniez cela en secondaire 1 ou 2. Si ton enseignant t'a demandé de mesurer le périmètre d'un ovale, il faudrait alors le mesurer à la main en suivant le contexte donné par le cahier ou par l'exercice.
J'espère que j'ai pu t'aider
Bonne étude
OursBrave3043
Suggestions en lien avec la question
Suggestion en lien avec la question
Voici ce qui a été trouvé automatiquement sur le site, en espérant que ça t’aide!