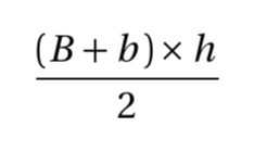
Pour calculer l'aire d'un trapèze, il faut appliquer la formule (Grande base + Petite base) x hauteur et tout ca divisé par deux. Je t'ai écrit la formule sous format dessin pour que tu comprenne mieux:
Ce contenu est protégé par le droit d'auteur. Toute reproduction à l'extérieur des forums Alloprof est interdite et pourra être considérée comme une violation du droit d'auteur.
☺
C est la moyenne des deux bases multipliée par la hauteur.
Explication vérifiée par Alloprof
Cette explication a été vérifiée par un membre de l’équipe d’Alloprof.
Bonsoir GalliminusFormidable6076
Merci d'utiliser la zone d'entraide! Allons-y:
Pour calculer l'aire d'un trapèze, il faut appliquer la formule (Grande base + Petite base) x hauteur et tout ca divisé par deux. Je t'ai écrit la formule sous format dessin pour que tu comprenne mieux:
Ce contenu est protégé par le droit d'auteur. Toute reproduction à l'extérieur des forums Alloprof est interdite et pourra être considérée comme une violation du droit d'auteur.
J'espère t'avoir aidé(e)
Bonne soirée :)
GobelinAuthentique7946
tu dois faire // la grande base + la petite base x hauteur, tout ça divisé par 2. voici en plus facile...
(B+b)xH divisé par 2
Suggestions en lien avec la question
Suggestion en lien avec la question
Voici ce qui a été trouvé automatiquement sur le site, en espérant que ça t’aide!