Comment faire pour trouvé la distance entre deux points
{t c="richEditor.description.title"} {t c="richEditor.description.paragraphMenu"} {t c="richEditor.description.inlineMenu"} {t c="richEditor.description.embed"}
Explication d'Alloprof
Cette explication a été donnée par un membre de l'équipe d'Alloprof.
Salut!
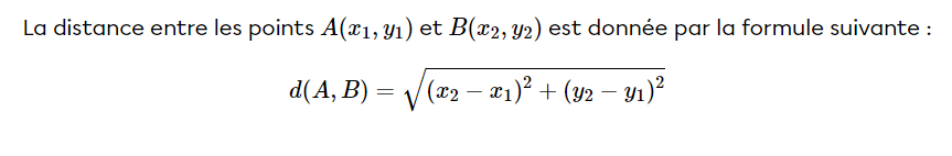
Tu dois utiliser la formule suivante :
Ce contenu est protégé par le droit d'auteur. Toute reproduction à l'extérieur des forums Alloprof est interdite et pourra être considérée comme une violation du droit d'auteur.
Voici une fiche sur cette notion pour plus d'exemples : La distance entre deux points | Alloprof
Si tu as d'autres questions, n'hésite pas à nous réécrire! :)
Voici ce qui a été trouvé automatiquement sur le site, en espérant que ça t’aide!
Explication d'Alloprof
Cette explication a été donnée par un membre de l'équipe d'Alloprof.
Salut!
Tu dois utiliser la formule suivante :
Ce contenu est protégé par le droit d'auteur. Toute reproduction à l'extérieur des forums Alloprof est interdite et pourra être considérée comme une violation du droit d'auteur.
Voici une fiche sur cette notion pour plus d'exemples : La distance entre deux points | Alloprof
Si tu as d'autres questions, n'hésite pas à nous réécrire! :)
Suggestions en lien avec la question
Suggestion en lien avec la question
Voici ce qui a été trouvé automatiquement sur le site, en espérant que ça t’aide!