Secondaire 5 • 4a
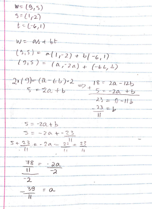
Bonjour , il me semble qu’il y a une erreur pour le a , d’après mes calculs le a devrait donner -39/11 et non 237/11 , est ce que j’ai raison ?
merci
Bonjour , il me semble qu’il y a une erreur pour le a , d’après mes calculs le a devrait donner -39/11 et non 237/11 , est ce que j’ai raison ?
merci
Explication d'Alloprof
Cette explication a été donnée par un membre de l'équipe d'Alloprof.
Bonjour à toi TatooineSolidaire5125!
Merci pour ta question :)
On peut décomposer n'importe quel vecteur en deux dimensions en une somme de deux autres vecteurs, lesquels sont multipliés par des scalaires.
Comme ceci :
Ce contenu est protégé par le droit d'auteur. Toute reproduction à l'extérieur des forums Alloprof est interdite et pourra être considérée comme une violation du droit d'auteur.
Dans ton cas, la combinaison peut s'écrire (9,5) = a(1, -2) + b(-6, 1). Tu peux créer un système d'équations, en regroupant les x et les y des vecteurs donnés, et le résoudre avec la méthode de réduction (par addition pour éliminer le -2a pour résoudre b. En sachant la valeur de b, remplace celle-ci dans une des équations dans le système des équations établies pour connaitre le a. Avec le a et le b, tu peux créer ta combinaison vectorielle.
Pour en savoir plus sur la méthode de réduction à utiliser, voici le lien vers la fiche :
En effet, de mon coté, la valeur de b et les équations sont correctes, mais il semble y avoir une erreur pour la valeur de a. Je te présente la démarche jusqu'à la recherche du a:
Ce contenu est protégé par le droit d'auteur. Toute reproduction à l'extérieur des forums Alloprof est interdite et pourra être considérée comme une violation du droit d'auteur.
J'espère que mes explications t'aident à mieux comprendre. Si tu as d'autres questions, reviens nous voir. Nous t'aiderons avec plaisir!
Bravo! tu as raison.
Suggestions en lien avec la question
Suggestion en lien avec la question
Voici ce qui a été trouvé automatiquement sur le site, en espérant que ça t’aide!