Secondaire 5 • 2a
Bonjour, j’ai une question: Comment peut-on tracer une parabole si on a le foyer et la directrice et trouver l’équation de la parabole.
en disant que le foyer (-9 , -2)
et la directrice y= -3
s’il vous plaît aidez moi à savoir comment le faire merci
Explication vérifiée par Alloprof
Cette explication a été vérifiée par un membre de l’équipe d’Alloprof.
Va voir cette page sous
"La parabole non centrée à l’origine"
https://www.alloprof.qc.ca/fr/eleves/bv/mathematiques/la-parabole-conique-m1330
comme ta directrice est de la forme y = une constante, il s'agit d'une parabole verticale
tu as toutes les informations te permettant de déduire l'équation de la parabole.
Ce contenu est protégé par le droit d'auteur. Toute reproduction à l'extérieur des forums Alloprof est interdite et pourra être considérée comme une violation du droit d'auteur.
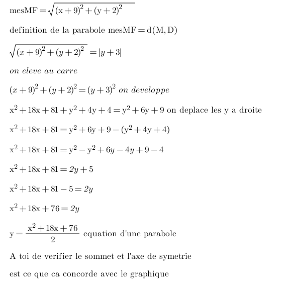
La parabole de foyer F et de directrice D est la courbe de l'ensemble des points M(x,y) du plan qui vérifient.
mesMF=distance(M,D)
Observe la vidéo suivante avnt les calculs
https://www.alloprof.qc.ca/fr/eleves/bv/mathematiques/la-parabole-conique-m1330
Ce contenu est protégé par le droit d'auteur. Toute reproduction à l'extérieur des forums Alloprof est interdite et pourra être considérée comme une violation du droit d'auteur.
Ce contenu est protégé par le droit d'auteur. Toute reproduction à l'extérieur des forums Alloprof est interdite et pourra être considérée comme une violation du droit d'auteur.
Suggestions en lien avec la question
Suggestion en lien avec la question
Voici ce qui a été trouvé automatiquement sur le site, en espérant que ça t’aide!