Secondaire 3 • 2a
Bonjour!
Je me demandais comment diviser deux notations scientifiques entre elles quand elle n'ont aucunes bases communes et aucuns exposants communs.
Merci!!
Bonjour!
Je me demandais comment diviser deux notations scientifiques entre elles quand elle n'ont aucunes bases communes et aucuns exposants communs.
Merci!!
Explication d'Alloprof
Cette explication a été donnée par un membre de l'équipe d'Alloprof.
Salut!
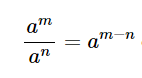
Tu dois simplement diviser les premiers facteurs ensemble (les mantisses), puis les seconds facteurs ensemble (les puissances de 10). Pour diviser le second facteur, utilise la loi des exposants suivante :
Ce contenu est protégé par le droit d'auteur. Toute reproduction à l'extérieur des forums Alloprof est interdite et pourra être considérée comme une violation du droit d'auteur.
Voici un exemple :
Ce contenu est protégé par le droit d'auteur. Toute reproduction à l'extérieur des forums Alloprof est interdite et pourra être considérée comme une violation du droit d'auteur.
Voici une fiche sur cette notion qui pourrait t'être utile : La notation scientifique | Secondaire | Alloprof
Et une vidéo du même sujet :La notation scientifique : la division | Mathématiques | Alloprof - YouTube
J'espère que c'est plus clair pour toi! :)
Suggestions en lien avec la question
Suggestion en lien avec la question
Voici ce qui a été trouvé automatiquement sur le site, en espérant que ça t’aide!