Secondaire 4 • 2a
Bonsoir Alloprof :-)
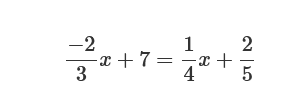
Pouvez vous m'expliquer les étapes que je dois suivre afin de résoudre ce système d'équations s.v.p. ? :
Je dois d'abord trouver la valeur de x, pour ensuite trouver la valeur de y et réussir l'activité.
Je sais comment résoudre les systèmes d'équations comme celui ci-dessous (c'est même très facile pour moi), mais les fractions me mélangent... Comment trouver les valeurs de x et de y ???
Merci beaucoup de votre aide précieuse !
Renard Philosophe


Explication d'Alloprof
Cette explication a été donnée par un membre de l'équipe d'Alloprof.
Salut :D
Tu peux faire comment d'habitude en mettant les deux équations en égalité.
Ce contenu est protégé par le droit d'auteur. Toute reproduction à l'extérieur des forums Alloprof est interdite et pourra être considérée comme une violation du droit d'auteur.
Ensuite, mettre les fractions sur le même dénominateur pourra t'aider.
Une vidéo de révision au besoin :)
Montre-nous comment ça avance. :) À bientôt :D
Suggestions en lien avec la question
Suggestion en lien avec la question
Voici ce qui a été trouvé automatiquement sur le site, en espérant que ça t’aide!