Skip to content

Zone d’entraide

Question de l’élève

Secondaire 5 • 2a

bonsoir, pouvez vous m'aider sur l'exercise

IMG_0782.jpg

22 a. je ne comprend pas. merci et bonne soirée.

Mathématiques
avatar
avatar

{t c="richEditor.description.title"} {t c="richEditor.description.paragraphMenu"} {t c="richEditor.description.inlineMenu"} {t c="richEditor.description.embed"}

Explications (3)

  • Options
    2a

    Attention!

    Quand la base est plus petite que 1, la fonction exponentielle est décroissante.

    La fonction exponentielle

  • Options
    2a November 2023 modifié
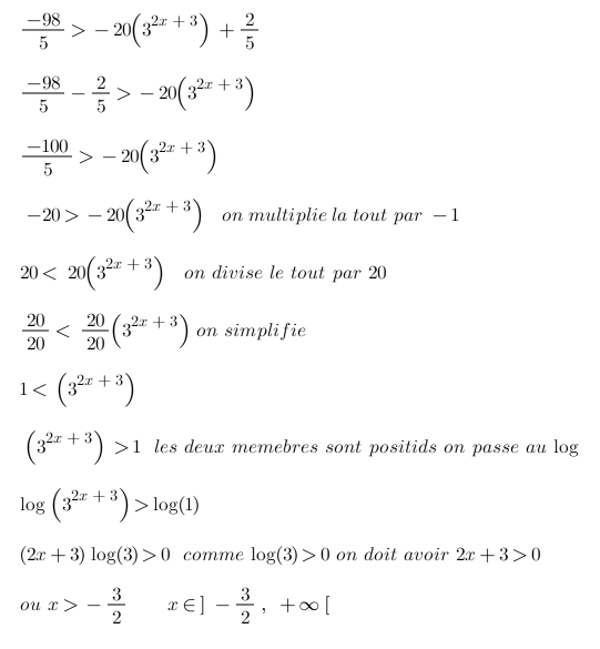
    image.png


  • Options
    Équipe Alloprof • 2a

    Bonsoir LapinMauve8378!

    Merci beaucoup pour ta question!

    Je t'invite à aller consulter la deuxième section de cette fiche explicative qui parle des inéquations pour ta fonction. Commence par tout enlever près que ton exposant et pour enlever l'exposant tu vas devoir prendre le log. Tout est bien détaillé dans la fiche.

    En espérant que ma réponse ait pu t’aider et n’hésite pas à nous réécrire si des questions persistent.

    Bonne soirée!

Poser une question