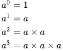
En fait, tout les chiffres avec l'exposant 0 donnent 1, comme tu peux le constater sur les images ci-dessous :
Ce contenu est protégé par le droit d'auteur. Toute reproduction à l'extérieur des forums Alloprof est interdite et pourra être considérée comme une violation du droit d'auteur.
Ce contenu est protégé par le droit d'auteur. Toute reproduction à l'extérieur des forums Alloprof est interdite et pourra être considérée comme une violation du droit d'auteur.
Merci d'utiliser la zone d'entraide pour répondre à tes questions.
Tout d'abord, suivant ton example, il faut savoir que "8 à la 0" est la facon orale de dire un nombre et l'exposant qui l'affecte. Ensuite, il faut savoir comment un exposant marche. L'exposant indique combien de fois un nombre est multiplié par lui meme. Par example, 8 à la 2 est 8x8 puisqu'il est multiplié deux fois par lui-meme.
Explication d'Alloprof
Cette explication a été donnée par un membre de l'équipe d'Alloprof.
Salut !
Toute base affectée de l'exposant 0 donne 1. (sauf si la base est 0).
Ainsi, \(8^0\) te donnerait 1. Si tu as d'autres questions, n'hésite pas !
Allô :)
En fait, tout les chiffres avec l'exposant 0 donnent 1, comme tu peux le constater sur les images ci-dessous :
Ce contenu est protégé par le droit d'auteur. Toute reproduction à l'extérieur des forums Alloprof est interdite et pourra être considérée comme une violation du droit d'auteur.
Ce contenu est protégé par le droit d'auteur. Toute reproduction à l'extérieur des forums Alloprof est interdite et pourra être considérée comme une violation du droit d'auteur.
Voici une fiche pour réviser la notion des exposants : Les lois des exposants | Secondaire | Alloprof
Explication d'un(e) pro de la Zone d'entraide
Tu peux faire confiance à cette explication, car elle est donnée par une personne identifiée comme étant fiable par Alloprof.
Bonjour TigreLibre2096!
Merci d'utiliser la zone d'entraide pour répondre à tes questions.
Tout d'abord, suivant ton example, il faut savoir que "8 à la 0" est la facon orale de dire un nombre et l'exposant qui l'affecte. Ensuite, il faut savoir comment un exposant marche. L'exposant indique combien de fois un nombre est multiplié par lui meme. Par example, 8 à la 2 est 8x8 puisqu'il est multiplié deux fois par lui-meme.
J'espère avoir pu t'aider et n'hésite pas à poser des questions!
Ne lache pas,
ArsenicPhilosophe9274
Suggestions en lien avec la question
Suggestion en lien avec la question
Voici ce qui a été trouvé automatiquement sur le site, en espérant que ça t’aide!