Secondaire 5 • 2a
Bonjours sa vas faire 3 jours que je suis sure de problème et personne de mon entourage ne peux m’aider s’il vous plaît pouvez vous m’aider?
Bonjours sa vas faire 3 jours que je suis sure de problème et personne de mon entourage ne peux m’aider s’il vous plaît pouvez vous m’aider?
Explication vérifiée par Alloprof
Cette explication a été vérifiée par un membre de l’équipe d’Alloprof.
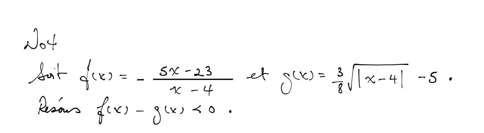
Oui, pas facile.
Avec une inéquatIon il faut être prudent, en particulier lorsqu'il y a des variables comme dénominateur car alors il faut considérer le changement de signe de l'inéquation si (x-4) est plus petit ou plus grand que 0.
En fait il est préférable d'analyser les différentes expressions.
Visuellement c'est clair (mais c'est long quand on le faIt manuellement)
Ce contenu est protégé par le droit d'auteur. Toute reproduction à l'extérieur des forums Alloprof est interdite et pourra être considérée comme une violation du droit d'auteur.
Tu peux voir que le h(x) = f(x) - g(x) est négatif partout sauf pour l'intervalle [4,8]
Vérifie pour x = 8 pour confirmer.
https://www.geogebra.org/calculator
Suggestions en lien avec la question
Suggestion en lien avec la question
Voici ce qui a été trouvé automatiquement sur le site, en espérant que ça t’aide!